套用
極坐標定積分
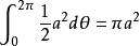
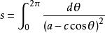
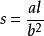
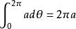
極坐標定積分圓R=a的周長 ,面積
極坐標定積分
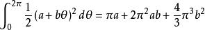
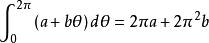
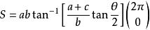
極坐標定積分阿基米德螺線R=a+bθ的周長 ,面積
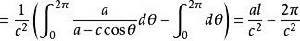
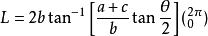
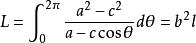
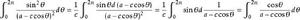
極坐標定積分橢圓 的周長L
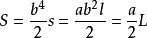
極坐標定積分橢圓 的面積S
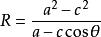
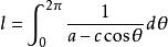
極坐標定積分設
極坐標定積分
極坐標定積分
極坐標定積分
極坐標定積分橢圓周長
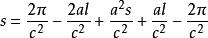
極坐標定積分設
極坐標定積分
極坐標定積分
極坐標定積分
極坐標定積分
極坐標定積分
極坐標定積分
極坐標定積分
極坐標定積分橢圓的面積 也就是說是橢圓周長L的 倍
極坐標定積分橢圓的面積

