定義
正則條件(regularity condition)是指在陳述某一個定理時,常常需要限定這些定理的使用範圍。如果超出這個範圍,則會導致定理所描述的內容不成立。用於限定這個使用範圍的限定條件被稱為“正則條件”。
注意,“正則條件” 並不是某一個具體的條件,而是會根據定理的不同而不同。
舉例
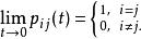
正則條件在研究Markov鏈時,一般地,對於轉移機率 ,假定它滿足如下的 正則條件(或連續性條件):
正則條件正則條件說明,過程剛進入某個狀態不可能立即又跳躍到另一個狀態。這正好說明一個物理系統要在有限時間內發生無限多次跳躍,從而消耗無窮多的能量是不可能的。
辨析
正則條件分布和正則條件機率是另外兩個概念,其定義如下。
正則條件分布
正則條件
正則條件
正則條件
正則條件
正則條件
正則條件
正則條件
正則條件
正則條件
正則條件正則條件分布(regular conditional distribution)是一類條件分布,指在 域下的條件分布。定義如下:設 為機率空間, 為 的子 域, 為 上的隨機變數。定義在 上的函式 滿足如下條件:
正則條件
正則條件
正則條件
正則條件1. 對每個固定的 ,定義在 上的集函式是上的機率測度;
正則條件
正則條件
正則條件
正則條件2.對每個固定的,函式是上的可測函式;
正則條件
正則條件
正則條件
正則條件
正則條件
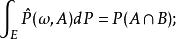
正則條件3.對一切,是在下關於的條件機率,即對任意的,
正則條件
正則條件
正則條件
正則條件則稱為給定下的的正則條件分布。
正則條件機率
正則條件
正則條件
正則條件
正則條件
正則條件
正則條件正則條件機率(regular conditional probability)亦稱條件機率測度,是一類條件機率。定義如下:設為機率空間,為的子域,定義在上的函式滿足如下條件:
正則條件
正則條件
正則條件1. 對每個固定的,集函式是上的機率測度;
正則條件
正則條件
正則條件2.對每個固定的,函式是可測函式;
正則條件
正則條件
正則條件
正則條件
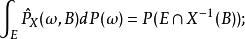
正則條件3.對一切,是在下的條件機率,即對一切,
正則條件
正則條件
正則條件則稱函式為給定下的正則條件機率。
