定義
定義一:
正則點
正則點
正則點
正則點
正則點
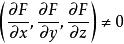
正則點對於一個曲面 ,若函式 在 點處連續可微,且 ,則稱 為曲面 的一個正則點。
若一個曲面上的所有點均為正則點,則稱這個曲面為正則曲面(光滑曲面)。
定義二:
正則點
正則點
正則點
正則點
正則點
正則點
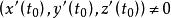
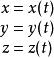
正則點對於曲線 上的一點 ,若 在 均連續可微,且 ,則稱 為曲線 的一個正則點。
若一條曲線上的所有點均為正則點,則稱這條曲線為正則曲線(光滑曲線)。
定義三:
設T∈B(X),λ∈C如果λI一T有有界的逆運算元,則稱複數λ是運算元T的正則點;否則(即λI一T無有界逆運算元),稱λ為T為的譜點.記ρ(T)是T的全體正則點之集,σ(T)是T的譜,當λ∈ρ(T)時,稱運算元
正則點為T的預解運算元(或預解式).顯然σ(T)=C\ρ(T).
定義四:
設Г=(I,f)為C^p類的簡單參數弧,p≥1,而M=f(t)為Г的一點.對[1,p]的任一元素q,設Tq(M0)為由向量 f′(t0),f″(t0),…,f^(q)(t0)所生成的向量子空間. 稱M是q階正則的,如果dimTq(M)=q.在此條件下,M也是嚴格小於q的任意階正則的. 如果Γ的所有點都是q階正則的,則稱Γ是q階正則的. 正則點的概念只依賴於對應Γ的幾何弧. (見R^n的子流形.)
正則點設∑=(D,f)為d維C^p類的簡單參數葉,p≥1,而M=f(x)為∑的一點.稱M是一階正則的,如果
的秩為d. 如果∑的所有點都是一階正則的,則稱∑是一階正則的. 正則點的概念只依賴於對應∑的幾何葉.設P為係數取自交換體K中含兩個未定元的多項式.以P(x,y)=0為方程的代數曲線上的點稱為是正則的,如果P在該點的微分不為零. 當K=R時,所考察的代數曲線在這樣點的鄰域上是R^2的一個子流形. 前面的定義立刻能推廣到代數超曲面上.
相關定理
定理 假設f∈H(U),且冪級數
正則點的收斂半徑為1.則f在單位圓周T上至少有一個奇點.
定義 若f∈H(U)且T的每一點都是f的奇點,則T稱為f的自然邊界·在這種情形下.f沒有到真正包含U的任何區域的全純開拓.
正則點
正則點定理 假設λ, 及 是正整數,p1<p2<p3<…,且
正則點
正則點λ ﹥(λ+1) (k=1,2,3,...). (1)
假設
正則點
正則點
正則點
正則點
正則點的收斂半徑為1,且對某個k,當 <n< 時,an=0.若 (z)是上式的第p項部分和,又設β為f在T上的正則點,則序列{ (z)}在β的某鄰城內收斂.
正則點
正則點
正則點注意整個序列{ (z)}不能在 外任何一點收斂,空隙條件(1)保證了存在收斂的子序列在β的鄰域,因而在 外某些點收斂.這種現象稱為過度收斂.
正則點
正則點
正則點定理 假設是λ個正整數,{ }是一個正整數序列,滿足 (1+1/λ) (k=1,2,3,...). 且冪級數
正則點的收斂半徑為1,則f以T作為它的自然邊界.
定理 假設Ω是一區域,L是一條直線或一段圓弧,Ω—L是兩個區域Ω1及Ω2的並,f在Ω內連續,且f在Ω1及Ω2內均全純,則f在Ω內全純.

