定義
正則函式
正則函式
正則函式
正則函式
正則函式
正則函式正則函式亦稱 全純函式或 解析函式,是解析函式論的主要研究對象,對於定義於複平面上區域 內的復變數z的單值函式 ,如果它在D內的每個點 的一個鄰域內都可以用 的冪級數表示,則稱 在D內解析,外爾斯特拉斯(K.(T.W.)Weierstrass)從冪級數出發,建立了解析函式的級數理論,如果在 內的每個點z處,極限
正則函式
正則函式
正則函式
正則函式
正則函式
正則函式
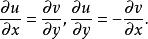
正則函式(稱為函式 在z點的導數)都存在,柯西(A.-L.Cauchy)稱在D內是解析的,這兩個定義是等價的。函式 在D內解析的另一個等價條件是: 在 內的每一個點 處存在連續偏導數,並且滿足柯西-黎曼方程(或稱柯西-黎曼條件):
正則函式這個條件有時簡稱C-R條件或稱 達朗貝爾-歐拉條件,函式f(z)在區域D內解析的第四個等價條件是莫雷拉定理。
性質定理
正則函式
正則函式
正則函式性質1 函式 在域D內每一點具有導數 ,而且導數 在D內為連續。
正則函式
正則函式
正則函式
正則函式性質2 在域D中,函式 的實部 (於此, ),)和虛部 具有一次連續偏導數
正則函式它們在D內滿足恆等條件
正則函式
正則函式
正則函式
正則函式性質3 這項性質預先假定了函式 在域D內為連續;下面,我們把它用兩種不同方式( 和 )敘述出來,這兩種方式等價。
正則函式
正則函式
正則函式
正則函式
正則函式:無論對於域D內的任何兩點 和b,沿D內從 到b所引的(有限長)曲線C所取的積分 與積分的路徑無關,而僅與函式 和始點a及終點b有關;
正則函式
正則函式
正則函式:對於域D內的任何(有限長)閉曲線 ,沿這曲線所取的積分 等於0。
正則函式
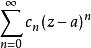
正則函式性質4 對於域D內的任何一點a,函式 在點a可展成一冪級數。詳言之:對於域D內的任何一點a,存在一列係數 (與a有關),使得級數
正則函式
正則函式
正則函式在某一圓 (圓的半徑R與a有關)內收斂,且其和等於 。
正則函式
正則函式性質5 函式 在域內每一點具有導數 。
對於與柯西同時的人黎曼(B.Riemann,1826一1866)來說(他與柯西無關地在德國奠定了複變函數論的基礎),出發點就是關係
正則函式這在後來通行叫作“柯西一黎曼條件”(或歐拉一達朗貝爾條件)。
對於比較靠近20世紀的德國學者魏爾斯特拉斯(K.Weierstrass,1855--1897)來說(他除了幾個其他的數學科目之外,並對複變函數論建立起堅實的基礎),出發點是可以展開成冪級數這種性質(性質4)。
最後,從近代的數學方法論的觀點來看,在建立複變函數論的時候,採用解析函式的積分性質(性質3)可能有很大的優越性,這是因為在很快得出柯西積分之後,就可以從它進而導出可微分性,以及可以展成冪級數性等。
