橢偏儀
正文
一種用於測量一束偏振光從被研究的表面或薄膜上反射後偏振狀態產生變化的光學儀器,用它可以得到表面或薄膜的有關物理參量的信息。橢圓偏振測量是一種非常實用的光學技術,它已有100多年的發展歷史。1808年,┵.-L.馬呂斯探測到反射光線的偏振特性,1889年P.K.L.德魯德建立了橢圓偏振測量的基本方程式,奠定了橢圓偏振測量技術的發展基礎。它是一種無損的測量方法,並且對於表面的微小變化有極高的靈敏性,例如可以探測出清潔表面上只有單分子層厚度的吸附或污染。特別是近年來,這一技術與微型計算機相結合,達到了測量步驟簡化及計算更為迅速的效果,使這一古老的方法獲得了新生。它在各個領域中,如物理、化學、材料和照相科學、生物學以及光學、半導體、機械、冶金和生物醫學工程中得到了廣泛的套用。
原理 當一束光線傾斜入射到一表面或薄膜上時,平行於入射面振動的 p偏振分量和垂直於入射面振動的s偏振分量在滿足切向分量連續的邊界條件下,因入射媒質、基片和薄膜材料對於p偏振和s偏振有不同的光學反射係數,在表面或薄膜上反射時,p偏振和s偏振的反射振幅和反射位相也各不相同。當入射光是一束線偏振光時,在一般情況下,從表面或薄膜上反射後,p偏振和s偏振之間產生了不同的振幅衰減和相對位相差墹=δp-δS(δp和δS別是p偏振和s偏振的位相差)。反射光電矢量終端的軌跡是一橢圓,稱為橢圓偏振光。軌跡方程是

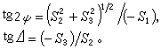
一個平面單色波的斯托克斯參量是下列四個量

。 在傳統的補償式橢偏儀中實際測量的是樣品的 p偏振和s偏振的複數振幅反射係數的比值ρ

在近代光度式橢偏儀中,實際測量的是反射光強度隨鏇轉檢偏器(或其他元件)的方位的變化,通過傅立葉分析得到斯托克斯參量。假定入射的線偏振光對於入射面有45°的方位,則斯托克斯參量和傳統的橢圓參量ψ和墹有如下的關係:

橢偏儀最基本的補償式(或稱消光式)橢偏儀由偏振器、四分之一波片(或補償器)、樣品、檢偏器等部件構成。從光源出射的光束,經過方位可以鏇轉的起偏器,成為在某一方位的線偏振光,當它再經過快軸的方位相對於起偏器的方位為 45°或135°的四分之一波片時就變成橢圓偏振光,p偏振和s偏振的振幅相等,但它們相對於被測表面的水平及垂直方向的位相差則僅決定於起偏器的方位,可以在0°~360°之間變化。所以只要調節起偏器的方位,使入射的橢圓偏振光經過表面或薄膜反射後重新補償成線偏振光,最後用檢偏器基於消光的原理測定反射線偏振光的方位。根據起偏器和檢偏器的方位的讀數,便可確定橢圓參量ψ和墹。這種消光型的橢偏儀具有最高的測試準確度。光度式橢偏儀,一般是通過連續鏇轉檢偏器(或補償器),測量隨檢偏器的方位變化而變化的反射光強度,從而得到樣品的斯托克斯參量。另一種光度式橢偏儀是利用電光或壓電技術調製光束的偏振狀態,稱為偏振調製橢偏儀。光度式橢偏儀適於快速測量,而且有較高的重複精度,但是一般說來,準確度不如傳統的消光型橢偏儀。
參考書目
R.M.A.Azzam and N.M.Bashara,Ellipsometry and Polarized Light, North-Holland, Amsterdam,New York,Oxford, 1977.
配圖
相關連線
物性測試儀器
| 物性測試儀器主要測量物體各種特性的儀器,物體的粘度、顆粒度,強度、硬度、色度、張力等儀器設備。用途:使用於實驗室及各種試驗場所,對物體或產品耐受性測試、特性測試。 |

