知識詳解
極角
極角在平面上取一定點O,從O引一條水平射線,規定方向自左至右,再選定一個長度單位並規定角旋轉的正方向,通常取逆時針方向,這樣就構成了一個 極坐標系,如圖1所示,點O叫作 極點,射線叫作極軸。
極角
極角
極角
極角
極角
極角
極角在極坐標系中,平面上任意一點M的位置,可以由OM的長度和從到OM的角來確定,把叫作點M的 極徑,叫作點M的 極角,有序實數對叫作點M的 極坐標,記作。
圖1
極角
極角
極角
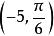
極角特別地,當點M在極點時,它的坐標是,可以取任意值,當點M在極軸上時,它的坐標是,可以取任意正值。
極角
極角如圖2所示,在極坐標系中,點的極坐標分別為。
圖2
極角
極角
極角
極角
極角
極角
極角
極角
極角
極角
極角
極角
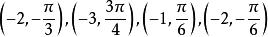
極角在實際套用時,極徑和極角也可以取負值,當時,點在的終邊上取一點,使,當時,點在角終邊的反向延長線上取一點,使,如圖3所示,當極軸按順時針方向旋轉時,.在如圖4所示的極坐標系中,點的極坐標分別為。
圖3
圖4
極角
極角
極角
極角
極角
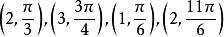
極角由此可見,對於任意給定的一對實數和,在平面上就有唯一確定的點與之相對應,反過來,平面上任意一點的極坐標卻可以有無數多種表示法,圖4中的點的極坐標還可以表示為這裡相差的整數倍,因此,平面上的點和它的極坐標的關係不是一一對應的,為了使點M(極點除外)的極坐標能唯一確定,一般取。
極坐標和直角坐標的互化
極角
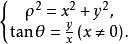
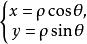
極角極坐標系和直角坐標系是兩種不同的坐標系,同一個點既可以用極坐標表示,也可以用直角坐標表示。把直角坐標系的原點作為極點,x軸的正半軸作為極軸,並在兩種坐標系中取相同的長度單位,如圖5所示,設M是平面內任意一點,它的直角坐標是極坐標是,顯然有
極角利用上式,可以把點M的極坐標化為直角坐標。
由上面的公式,又可得
極角利用該公式,可以把點M的直角坐標化為極坐標。
例題解析
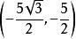
極角例1 把點M的極坐標化為直角坐標。
極角解: 由公式得
極角
極角於是得點M的直角坐標為。
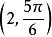
極角例2 把點M的直角坐標化為極坐標。
極角解:由公式得
極角
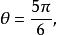
極角
極角因為點M在第二象限,所以於是得點M的極坐標為。

