概念
撓率形式
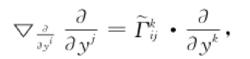
撓率形式撓率形式是刻畫聯絡對稱性的二次形式。設(M,)是n維仿射聯絡空間,{ω }是定義在開鄰域UM上的局部余標架場,ω 是相應的聯絡形式。若Ω =dω -ω ∧ω ,則Ω 是定義在U上的二次外微分式,稱為撓率形式。直接計算可得:
撓率形式其中,T 是撓率張量T在相應的局部標架場{e}下的分量,即T(e,e)=T e
仿射聯絡
仿射聯絡簡稱聯絡。主叢上的一種微分幾何結構。所謂仿射聯絡應該是以仿射變換群為結構群的主叢上的聯絡,在以一般線性群為結構群的主叢上的聯絡稱為線性聯絡。套用比較廣泛的是線性聯絡,特別是在與一般線性群的主叢相配的向量叢上的聯絡;而且,在歷史上長期把現在所稱的線性聯絡稱為仿射聯絡。因此,本條目的仿射聯絡按習慣的定義,指的是線性聯絡。設M是n維光滑流形,Γ(TM)表示切叢TM的全體光滑截面(即C向量場)組成的空間.流形M上的一個仿射聯絡是指映射:
撓率形式
撓率形式它對任意兩個光滑切向量場X,Y,指定了一個光滑的切向量場Y,滿足以下條件:
撓率形式
撓率形式
撓率形式1.Z=Z+Z.
撓率形式
撓率形式
撓率形式2.(Y+Z)=Y+Z.
撓率形式
撓率形式3.Y=f·Y.
撓率形式
撓率形式4.(f·Y)=X(f)·Y+f·Y,
撓率形式
撓率形式其中f∈C (M),X,Y,Z∈Γ(TM)。注意:Y關於自變數X是C (M)線性的,因此,對於光滑的切向量場Y以及X∈TM,能夠定義Y為TM中一個確定的元素。
撓率形式
撓率形式
撓率形式
撓率形式聯絡是加在微分流形M上,使得對於M上的光滑的向量場能夠進行微分的一種結構.通常,把Y稱為切向量場Y關於點p處的切向量X的協變微商,也稱共度導數。在仿緊光滑流形上,聯絡總是存在的。若在光滑流形M上指定了一個聯絡,則稱(M,)為仿射聯絡空間。設(M,)是一個仿射聯絡空間,在局部坐標系(U;x)下,若:
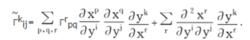
撓率形式則稱Γ 為聯絡在該坐標系下的係數。在局部坐標變換下,聯絡係數Γ不遵循張量的坐標變換規律,即聯絡不是張量.它的坐標變換規律為:設(V,y)是另一個局部坐標系,U∩V≠∅。記:
撓率形式則在U∩V上有:
撓率形式
撓率形式
撓率形式
撓率形式
撓率形式一般地,若在M上取定一個局部標架場{e},其對偶的余標場為{ω },記e=Γ e,ω =Γ ω ,則稱Γ 為聯絡關於局部標架場{e}的係數,ω 為聯絡形式。在仿射聯絡空間(M,)上,最重要的不變數為撓率張量和曲率張量。聯絡可以用來定義微分流形上的切向量場沿一條曲線的平行性;反過來,利用切向量沿曲線平行移動的概念可以給出協變微商的幾何意義。在仿射聯絡空間(M,)上,對任意的張量場也能定義它們的協變微商。
微分流形M上的仿射聯絡的概念可以直接推廣為微分流形M上任意一個向量叢上的聯絡。
聯絡概念的產生是微分幾何發展史中的一件大事。克里斯托費爾(Christoffel,E.B.)於1869年創立了用度量張量g的微商構造的克里斯托費爾符號。後來,里奇(Ricci,C.G.)將克里斯托費爾的方法做了系統的闡述和發展,創立了他所稱的絕對微分學,使得對張量的分量求絕對微商之後仍是一個張量。列維-齊維塔(Levi-Civita,T.)於1917年引進向量平行移動的概念,革新了里奇的張量分析,賦予絕對微分以鮮明的幾何意義。這些工作實際上是從黎曼度量出發定義了一種特定的聯絡,而黎曼流形的曲率恰好是切向量繞一點做平行移動一周所出現的差別。外爾(Weyl,(C.H.)H.)觀察到滿足一定的坐標變換規律的量Γ比度量張量g更為基本,他把給定了Γ的空間稱為仿射聯絡空間,其中切向量沿曲線的平行移動、測地線、曲率張量等都是有意義的.從名稱來看,仿射聯絡空間與黎曼空間的關係,就像是仿射空間與歐氏空間的關係。現在所通用的聯絡的定義是科斯居爾(Koszul,J.L.)給出的。
么正標架場
黎曼流形上的一類特殊標架場。若(M,g)是n維黎曼流形,則在每一點p∈M的一個鄰域U內必存在單位正交標架場{e},使得g(e,e)=δ,稱{e}為M上的局部么正標架場。若{ω}是{e}的對偶余標架場,則黎曼度量張量g可表成:
撓率形式簡稱{ω}為么正余標架場。
