定義
曲率形式(curvature forms)是特徵曲率張量的二次形式。
曲率形式
曲率形式
曲率形式令 G為一個李群,記 G的李代數為 。設 為一個主 G-叢。令 表示 E上一個埃雷斯曼聯絡(它是一個 E上的 g-值1-形式)。
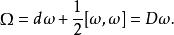
那么 曲率形式就是 E上的 g-值 2-形式,定義為
曲率形式
曲率形式
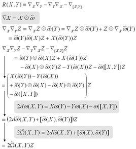
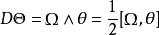
曲率形式這裡 表示標準外導數, 是李括弧,而 D表示 外共變導數。或者說
曲率形式
曲率形式表示
向量叢上的曲率形式
曲率形式若 是一個纖維叢,其結構群為 G,我們可以在相伴的主 G-叢上重複同樣的定義。
曲率形式
曲率形式若 是一個向量叢則我們可以把 看作是 1-形式的矩陣,則上面的公式取如下形式:
曲率形式
曲率形式
曲率形式
曲率形式
曲率形式
曲率形式
曲率形式
曲率形式其中 是楔積。更準確地講,若 和 分別代表 和 的分量(所以每個 是一個通常的 1-形式而每個 是一個普通的2-形式),則
曲率形式
曲率形式
曲率形式
曲率形式
曲率形式例如,黎曼流形的切叢,我們有 作為結構群而 是在 中取值的 2-形式(給定標準正交基,可以視為反對稱矩陣)。在這種情況, 是曲率張量的一種替換表述,也就是在曲率張量的標準表示中,我們有
曲率形式上式使用了黎曼曲率張量標準記號。
相關拓展
比安基恆等式
曲率形式
曲率形式如果 是標架叢上的典範向量值 1-形式,聯絡形式 ω 的撓率是由結構方程定義的向量值 2-形式:
曲率形式這裡 D代表外共變導數。
第一比安基恆等式(對於標架叢的有撓率聯絡)取以下形式:
曲率形式第二比安基恆等式對於一般有聯絡的叢成立,並有如下形式:
曲率形式
