簡介
截面曲率
截面曲率
截面曲率
截面曲率
截面曲率
截面曲率
截面曲率
截面曲率
截面曲率
截面曲率
截面曲率
截面曲率
截面曲率
截面曲率 截面曲率 依賴於 點的切空間裡的一個二維平面 。它就定義為該截面,考慮在 p點以平面 作為切平面的曲面 ,這曲面是收集流形中某包含 的鄰域內從 p點出發的測地線且這測地線在 點的切向量屬於截面 (換句話說就是其中 是 里包含原點的鄰域)而截面曲率 就是曲面 在 點的高斯曲率。形式上,截面曲率是流形上的2維格拉斯曼纖維叢的光滑實值函式。
截面曲率完全決定了曲率張量,是非常有用的幾何概念。
定義
截面曲率
截面曲率
截面曲率
截面曲率
截面曲率
截面曲率
截面曲率
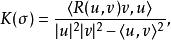
截面曲率 設為黎曼流形, 為上點處切空間中的二維平面,和為中兩個線性無關的向量。 則關於的 截面曲率定義為 :
截面曲率
截面曲率
截面曲率 其中是 的黎曼曲率張量。
常截面曲率流形
常截面曲率的黎曼流形是最簡單的類型。它們稱為空間形式。通過縮放度量,它們有三種情況 :
1) 負曲率−1,雙曲幾何;
2) 零曲率,歐幾里得幾何;
3) 正曲率+1,橢圓幾何。
三類幾何的模型流形分別是雙曲空間,歐幾里得空間和單位球面。它們是對於這些給定的截面曲率唯一可能的完備單連通黎曼流形,所有其它常曲率流形是它們在某個等距映射群下的商。
性質
截面曲率 1. 完備黎曼空間有非負的截面曲率,若且唯若函式對於所有點 p是一個1-凹函式。
截面曲率 2. 一個完備單連通黎曼流形有非正截面曲率,若且唯若函式是1-凸函式。
相關擴展
• 黎曼曲率張量
• 黎曼流形的曲率
• 曲率
