常曲率黎曼空間
正文
截面曲率為常數的黎曼流形,它包括了歐氏空間、球面、雙曲空間為其特例。在曲面論中,高斯曲率K為常數的曲面局部地為球面(K>0),平面(K=0)或雙曲平面(K<0)。在高維時高斯曲率的自然推廣為截面曲率(見黎曼幾何學)。如果黎曼流形M上任何點處的任何二維切平面,其相應的截面曲率均為常數K,則稱此黎曼流形為常曲率黎曼空間。又稱常曲率空間。由著名的舒爾定理知道,如果dim M≥3並且M上每處的截面曲率的數值與二維切平面的選取無關,則截面曲率也必與點的選取無關,即它必為常曲率黎曼空間。局部地,常曲率K的n維黎曼流形的黎曼曲率張量可表為
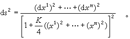
此處gij為黎曼流形的度量張量,1≤i,j,k,l≤n。在適當的坐標系下它的黎曼度量為 
人們對常曲率黎曼空間感興趣的原因在於這類黎曼流形結構簡單,具有最大的對稱性(即容有最大參數的運動群),直觀地說,這類空間是均勻各向同性的。它也同時作為共形平坦空間、愛因斯坦空間、齊性黎曼流形或對稱黎曼空間等特殊黎曼流形的一類重要的例子。把它作為模型研究清楚以後,通過與這些標準的模型進行諸如曲率等幾何量的比較,從而可得到對一般黎曼流形的一系列幾何和拓撲的性質。
參考書目
S.Kobayashi and K.Nomizu,Foundation of Differential Geometry, Vol. 1~2, John Wiley & Sons, New York,1963,1969.
J.A.Wolf.Spaces of Constant Curvature, McGraw-Hill,New York, 1967.

