簡介
微分法
微分法在古典的微積分學中,微分被定義為變化量的線性部分,在現代的定義中,微分被定義為將自變數的改變數 映射到變化量的線性部分的線性映射 。這個映射也被稱為切映射。給定的函式在一點的微分如果存在,就一定是唯一的。
微分法
微分法
微分法
微分法
微分法
微分法
微分法
微分法
微分法
微分法
微分法
微分法
微分法
微分法
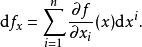
微分法在數學中,微分是對函式的局部變化率的一種線性描 述。微分可以近似地描述當函式自變數的取值作足夠小的改變時,函式的值是怎樣改變的。當某些函式 的自變數 有一個微小的改變 時,函式的變化可以分解為兩個部分。一個部分是線性部分:在一維情況下,它正比於自變數的變化量 ,可以表示成 和一個與 無關,只與函式 及 有關的量的乘積;在更廣泛的情況下,它是一個線性映射作用在 上的值。另一部分是比 更高階的無窮小,也就是說除以 後仍然會趨於零。當改變數很小時,第二部分可以忽略不計,函式的變化量約等於第一部分,也就是函式在 處的 微分,記作 或 。如果一個函式在某處具有以上的性質,就稱此函式在該點可微 。
不是所有的函式的變化量都可以分為以上提到的兩個部分。若函式在某一點無法做到可微,便稱函式在該點不可微。
定義
微分法定義如下:
微分法
微分法
微分法
微分法
微分法
微分法
微分法
微分法
微分法
微分法
微分法
微分法
微分法
微分法
微分法
微分法
微分法
微分法
微分法
微分法設函式 在某區間 內有定義。對於 內一點 ,當 變動到附近的 (也在此區間內)時,如果函式的增量 可表示為 (其中 是不依賴於 的常數),而 是比高階的無窮小,那么稱函式 在點 是可微的,且 稱作函式在點 相應於自變數增量 的微分,記作 ,即 , 是 的線性主部。
微分法
微分法
微分法
微分法通常把自變數 的增量 稱為自變數的微分,記作 ,即 。
圖1.微分法
微分法
微分法(函式在一點的微分,其中紅線部分是微分量 ,而加上灰線部分後是實際的改變數 。)
幾何意義
微分法
微分法
微分法
微分法
微分法
微分法
微分法
微分法
微分法
微分法
微分法
微分法
微分法設 是曲線 上的點 在橫坐標上的增量,是曲線在點 對應 在縱坐標上的增量, 是曲線在點 的切線對應 在縱坐標上的增量。當 很小時, 比 要小得多(高階無窮小),因此在點 附近,我們可以用切線段來近似代替曲線段 。
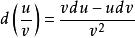
微分法則
微分法
微分法和求導一樣,微分有類似的法則,例如,如果設函式 、 可微,那么:
微分法1)
微分法2)
微分法3) ,
微分法
微分法4)若函式 可導,那么 。
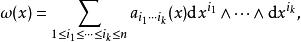
微分法與微分形式
微分法
微分法
微分法
微分法如果說微分是導數的一種推廣,那么微分形式則是對於微分函式的再推廣。微分函式對每個點 給出一個近似描述函式性質的線性映射 ,而微分形式對區域 內的每一點給出一個從該點的切空間映射到值域的斜對稱形式: 。在坐標記法下,可以寫成:
微分法
微分法
微分法
微分法
微分法
微分法
微分法其中的是-射影運算元,也就是說將一個向量射到它的第個分量的映射。而是滿足:
微分法的 k-形式。
微分法
微分法
微分法
微分法特別地,當是一個從映射到的函式時,可以將寫作:
微分法正是上面公式的一個特例。

