基本介紹
隱微分法
隱微分法隱微分法是複合函式微分法的套用,設方程確定y是x的可微函式:代人方程,得
隱微分法可知左端F通過y是x的函式。
圖1根據鏈式法則(圖1),得
隱微分法
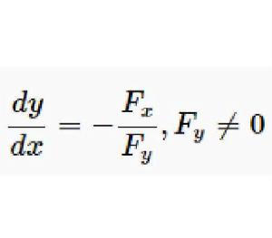
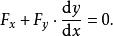
隱微分法若則有
隱微分法例題解析
隱微分法【 例1】 求方程所確定的x的函式的微商 。
隱微分法解:因由式(3),得
隱微分法
圖2
隱微分法
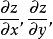
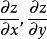
隱微分法設方程確定z是x、y的函式:代人方程,得
隱微分法
隱微分法可知方程左端F通過z成為x,y的函式,下面求.根據鏈式法則(圖2),得
隱微分法
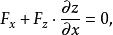
隱微分法若則有
隱微分法同理,
隱微分法
隱微分法
隱微分法【 例2】方程確定z為x,y的函式,求。
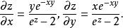
隱微分法解:因
隱微分法所以,
隱微分法
隱微分法
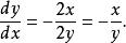
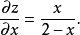
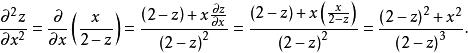
隱微分法【 例3】設,求。
隱微分法解:由式(2)得:
隱微分法兩邊再對x求偏微商,得
隱微分法
