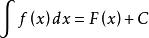
定義
積分法是從已知函式f求其原函式(不定積分)的方法。包括
積分法(1)
積分法(2)
(3)基本積分表
(4)換元積分法
(5)分部積分法
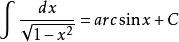
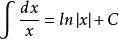
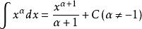
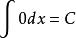
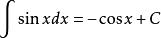
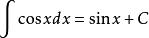
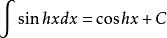
基本積分表
積分法
積分法
積分法
積分法
積分法
積分法
積分法
積分法
積分法
積分法
積分法
積分法
積分法
積分法換元積分法
積分法若 都是連續函式,且
積分法則
積分法分部積分法
積分法設 都連續,且G(x)為g的原函式,則
積分法上式亦可寫成
積分法
積分法 integral method; 是通過磁異常的積分運算求得磁性體產狀的定量解釋推斷方法。通過這種運算可以直接或間接的求得磁性體的產狀。積分法一般利用磁異常曲線的一段或全部,有利於消除或壓制局部干擾,計算結果較可靠。這種解釋推斷方法要求異常曲線要觀測到正常場,因而相鄰磁性體的干擾明顯。同時,還要求計算之前必須確定磁性體的幾何形狀,才能正確地選擇計算公式。
積分法是從已知函式f求其原函式(不定積分)的方法。包括
積分法(1)
積分法(2)
(3)基本積分表
(4)換元積分法
(5)分部積分法
積分法
積分法
積分法
積分法
積分法
積分法
積分法
積分法
積分法
積分法
積分法
積分法
積分法
積分法
積分法若 都是連續函式,且
積分法則
積分法
積分法設 都連續,且G(x)為g的原函式,則
積分法上式亦可寫成
積分法辛普森積分法是一種用拋物線來近似函式曲線來求定積分數值解的方法。
公式 誤差組合積分法介紹的是積分領域中傳統積分方法未曾涉及的一種新方法--組合積分法。可作為大學生和數學教師的參考書,也可作為報考碩士研究生和"專升本"學生備考數...
組合積分法有理函式積分法是按一定步驟求有理函式不定積分的方法,求有理函式的積分時,先將有理式分解為多項式與部分分式之和,再對所得到的分解式逐項積分。有理函式的原函...
基本介紹 有理函式積分法的具體介紹水深-流速積分法,又稱圖解法或部分中間法,是流速儀測驗的流量計算方法之一。 它是用實測水深和流速資料,通過圖解分析以推求斷面流量的一種方法。本法要求多線...
概念 計算步驟 流速等值線法安時積分法鋰電池已被廣泛套用於工業、日常生活等領域,對電池荷電狀態(SOC)的估算已成為電池管理的重要環節。但是,由於電池結構複雜,電池的荷電狀態受放電...
其中,泛柱體常用於單元層的一元算法,正箱體常用於單元層的二元和三元算法(也可用於一元)。 在CS法的各類算法中,一元和二元線性類算法較為簡便和常用,合併...
引言 一元線性類單元層基本算法 箱變坐標系與二元線性類單元層基本算法《電磁波時程精細積分法》是2015年7月科學出版社出版的圖書,作者是馬西奎。
內容簡介 適宜人群 書籍目錄分部積分法是微積分學中的一類重要的、基本的計算積分的方法。它是由微分的乘法法則和微積分基本定理推導而來的。它的主要原理是將不易直接求結果的積分形式,轉化...
公式推導 四種典型模式 定積分 示例