基本介紹
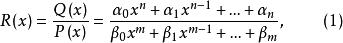
有理函式是指由兩個多項式函式的商所表示的函式,其一般形式為
有理函式積分法
有理函式積分法
有理函式積分法
有理函式積分法其中n,m為非負整數,與都是常數,且。
若m>n,則稱它為真分式;若m≤n,則稱它為假分式。由多項式的除法可知,假分式總能化為一個多項式與一個真分式之和。由於多項式的不定積分是容易求得的,因此只需研究真分式的不定積分,故設(1)為一有理真分式。
根據代數知識,有理真分式必定可以表示成若干個部分分式之和(稱為部分分式分解),因而問題歸結為求那些部分分式的不定積分 。
有理函式積分法的具體介紹
設需要求
有理函式積分法
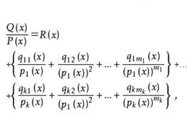
有理函式積分法其中P,Q都是多項式,如果Q的次數大於或等於P的次數,則先用除法分出商多項式R,設多項式P(x)在R上已分解為既約多項式之積:,p(x),p(x),…,p(x)為一次或二次多項式,則有 :
有理函式積分法
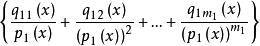
有理函式積分法=
有理函式積分法+ +…
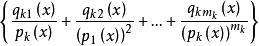
有理函式積分法+ ,
q(i=1,2,…,k,j=1,2,…,m)是次數比p的次數低的多項式。對上式積分,右邊出現三類積分:多項式的積分;形如
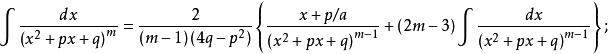
有理函式積分法其中(a,A,k∈R)的積分;和形如
有理函式積分法的積分。對第三類積分,改寫Bx+C=(2x+p)·(B/2)+(C-pB/2),
將它分解為兩個積分
有理函式積分法其中,第一個積分已可求出,對第二個積分,如m=1,則易於求出;如m>1,用分部積分法,得
有理函式積分法如m-1>1,則可再利用此公式,逐次遞推,最後便可求出積分 。

