基本介紹
有理代換
有理代換當被積函式中含有x的一次根式 時,一般可作代換t= 來去掉根式,從而求得積分,這種代換稱為有理代換,有理代換的原則是“見根號,去根號”。
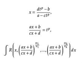
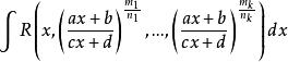
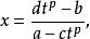
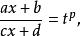
設R是k+1元有理函式,a,b,c,d是實數,m,m,…,m是整數,p是正整數n,n,…,n的最低公倍數。有理代換
有理代換即
有理代換可把積分
有理代換化為關於t的有理函式的積分 。
例題解析
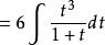
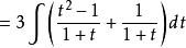
有理代換【例1】求
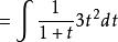
有理代換解:令 得
有理代換
有理代換
有理代換
有理代換
有理代換
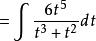
有理代換將代入上式得:
有理代換
有理代換
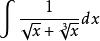
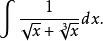
有理代換【例2】求
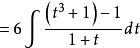
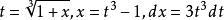
有理代換解:令,得:
有理代換
有理代換
有理代換
有理代換
有理代換
有理代換
有理代換
有理代換將代入,上式=

