不定積分的運算法則,包含如下兩個性質(注意性質適用條件):
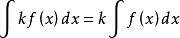
1、設函式f(x)的原函式存在(即f(x)可積,下同),k是常數,則:
不定積分的運算法則(1) (k≠0)
不定積分的運算法則(2) (k=0)
2、設f(x),g(x)兩個函式存在原函式,則:
不定積分的運算法則3、常見積分幾種運算法
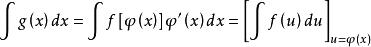
換元積分法:
不定積分的運算法則
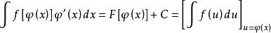
不定積分的運算法則①設f(u)具有原函式F(u) ,如果u是中間變數:u= (x),且 (x)可微,那么,根據複合函式微分法,有
不定積分的運算法則
不定積分的運算法則
不定積分的運算法則dF=[ (x)]=f[ (x)] '(x)dx,從而根據不定積分的定義就得:
不定積分的運算法則
不定積分的運算法則
不定積分的運算法則
不定積分的運算法則若要求
,若可化為的形式,那么:
不定積分的運算法則這種方法稱為第一類換元法。
②利用第二類換元法化簡不定積分的關鍵仍然是選擇適當的變換公式 x = φ(t)。此方法主要是求無理函式(帶有根號的函式)的不定積分。由於含有根式的積分比較困難,因此我們設法作代換消去根式,使之變成容易計算的積分。 下面簡單介紹第二類換元法中常用的方法:
不定積分的運算法則
不定積分的運算法則(1)根式代換:被積函式中帶有根式 ,可直接令 t =
不定積分的運算法則
不定積分的運算法則
不定積分的運算法則
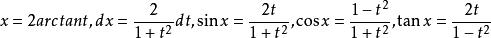
不定積分的運算法則(2)三角代換:利用三角函式代換,變根式積分為有理函式積分,有三種類型: 被積函式含根式 ,令 ;被積函式含根式 ,令 。
註:記住三角形示意圖可為變數還原提供方便。
不定積分的運算法則(3)倒代換(即令 ):設m,n 分別為被積函式的分子、分母關於x 的最高次數,當 n-m>1時,用倒代換可望成功
不定積分的運算法則(4)指數代換:適用於被積函式由指數 所構成的代數式;
不定積分的運算法則(5)萬能代換(半角代換):被積函式是三角函式有理式,可令 ,則:
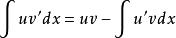
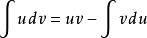
不定積分的運算法則分部積分法:
設函式u=u(x)及v=v(x)具有連續導數,則其乘積的導數為:
不定積分的運算法則,移項得:
不定積分的運算法則對兩邊求不定積分,得:
不定積分的運算法則
不定積分的運算法則也可寫為:
不定積分的運算法則
不定積分的運算法則如果求 有困難,而求 比較容易時,分部積分公式就可以發揮作用了。
