基本信息
不同於牛頓-萊布尼茨公式,萊布尼茨公式用於對兩個函式的乘積求取其高階導數,
一般的,如果函式u=u(x)與函式v=v(x)在點x處都具有n階導數,那么此時有
萊布尼茨公式[求導法則中的Leibniz公式]
萊布尼茨公式[求導法則中的Leibniz公式]
萊布尼茨公式[求導法則中的Leibniz公式]
萊布尼茨公式[求導法則中的Leibniz公式](uv) = u v+ nu v' + u v" + + u v + + uv
也可記為
萊布尼茨公式[求導法則中的Leibniz公式]利用面積推導
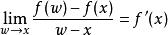
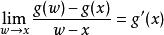
假設
萊布尼茨公式[求導法則中的Leibniz公式]且 f和 g在 x點可導。那么:
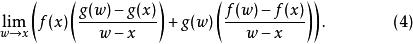
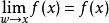
萊布尼茨公式[求導法則中的Leibniz公式]現在,以下的差
萊布尼茨公式[求導法則中的Leibniz公式]是圖中大矩形的面積減去小矩形的面積。
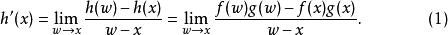
萊布尼茨公式[求導法則中的Leibniz公式]這個區域可以分割為兩個矩形,它們面積的和為:
萊布尼茨公式[求導法則中的Leibniz公式]因此,(1)的表達式等於:
萊布尼茨公式[求導法則中的Leibniz公式]如果(5)式中的四個極限都存在,則(4)的表達式等於:
萊布尼茨公式[求導法則中的Leibniz公式]現在:
萊布尼茨公式[求導法則中的Leibniz公式]因為當 w→ x時, f( x)不變;
萊布尼茨公式[求導法則中的Leibniz公式]因為 g在 x點可導;
萊布尼茨公式[求導法則中的Leibniz公式]因為 f在 x點可導;以及
萊布尼茨公式[求導法則中的Leibniz公式]因為 g在 x點連續(可導的函式一定連續)。
現在可以得出結論,(5)的表達式等於:
萊布尼茨公式[求導法則中的Leibniz公式]推導過程
如果存在函式u=u(x)與v=v(x),且它們在點x處都具有n階導數,那么顯而易見的,
u(x) ± v(x) 在x處也具有n階導數,且 (u±v) = u ± v
至於u(x) × v(x) 的n階導數則較為複雜,按照基本求導法則和公式,可以得到:
(uv)' = u'v + uv'
(uv)'' = u''v + 2u'v' + uv''
(uv)''' = u'''v + 3u''v' + 3u'v'' + uv'''
…………
運用數學歸納法可證
萊布尼茨公式[求導法則中的Leibniz公式]
萊布尼茨公式[求導法則中的Leibniz公式]
萊布尼茨公式[求導法則中的Leibniz公式]
萊布尼茨公式[求導法則中的Leibniz公式](uv) = u v + nu v' + u v" + + u v + + uv
上式便稱為萊布尼茨公式(Leibniz公式)
區別
由於名稱相似,不少人將牛頓-萊布尼茨公式與萊布尼茨公式相混淆,事實上他們是兩個完全不同的公式。
牛頓-萊布尼茨公式是微積分學中的一個重要公式,它把不定積分與定積分相聯繫了起來,也讓定積分的運算有了一個完善、令人滿意的方法。其基本形式為
萊布尼茨公式[求導法則中的Leibniz公式]而萊布尼茨公式是導數計算中會使用到的一個公式,它是為了求取兩函式乘積的高階導數而產生的一個公式。
二者存在本質上的區別。
相關人物
戈特弗里德·威廉·萊布尼茨
弗里德·威廉·萊布尼茨(Gottfried Wilhelm Leibniz,1646年—1716年),德國哲學家、數學家,和牛頓先後獨立發明了微積分。有人認為,萊布尼茨最大的貢獻不是發明微積分,而是微積分中使用的數學符號,因為牛頓使用的符號普遍認為比萊布尼茨的差。他所涉及的領域及法學、力學、光學、語言學等40多個範疇,被譽為十七世紀的亞里士多德。
![萊布尼茨公式[求導法則中的Leibniz公式] 萊布尼茨公式[求導法則中的Leibniz公式]](/img/e/eb3/nBnauM3XyADN2YzMzEDM0kDN1UTM1QDN5MjM5ADMwAjMwUzLxAzL1MzLt92YucmbvRWdo5Cd0FmLxE2LvoDc0RHa.jpg)
