概念
萊布尼茨公式[含參變數常義積分中的Leibniz公式]
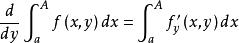
萊布尼茨公式[含參變數常義積分中的Leibniz公式]我們先定義積分的連續性。若函式在有界區域內有定義並且是連續的,則
萊布尼茨公式[含參變數常義積分中的Leibniz公式]
萊布尼茨公式[含參變數常義積分中的Leibniz公式]
萊布尼茨公式[含參變數常義積分中的Leibniz公式]
萊布尼茨公式[含參變數常義積分中的Leibniz公式]
萊布尼茨公式[含參變數常義積分中的Leibniz公式]
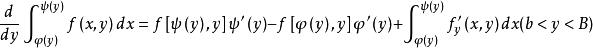
萊布尼茨公式[含參變數常義積分中的Leibniz公式]是在閉區間上的連續函式。如果一個函式滿足上述條件,且偏導數在區域內連續,則當時成立Leibniz公式
萊布尼茨公式[含參變數常義積分中的Leibniz公式]
萊布尼茨公式[含參變數常義積分中的Leibniz公式]
萊布尼茨公式[含參變數常義積分中的Leibniz公式]
萊布尼茨公式[含參變數常義積分中的Leibniz公式]
萊布尼茨公式[含參變數常義積分中的Leibniz公式]
萊布尼茨公式[含參變數常義積分中的Leibniz公式]
萊布尼茨公式[含參變數常義積分中的Leibniz公式]在更一般的情況下,當積分的下限和上限為參數的可微函式和,並且當時,,則有
萊布尼茨公式[含參變數常義積分中的Leibniz公式]。說的通俗易懂一些,就是用關於參數y的積分上下限函式替換被積函式中的積分變數x。
微分法
在數學中,微分是對函式的局部變化率的一種線性描述。微分可以近似地描述當函式自變數的取值作足夠小的改變時,函式的值是怎樣改變的。當某些函式f的自變數x有一個微小的改變h時,函式的變化可以分解為兩個部分。一個部分是線性部分,另一部分是比h更高階的無窮小,這種表示方法成為 微分法。
萊布尼茨公式[含參變數常義積分中的Leibniz公式]
萊布尼茨公式[含參變數常義積分中的Leibniz公式]在古典的微積分學中,微分被定義為變化量的線性部分,在現代的定義中,微分被定義為將自變數的改變數映射到變化量的線性部分的線性映射。這個映射也被稱為切映射。給定的函式在一點的微分如果存在,就一定是唯一的。
萊布尼茨公式[含參變數常義積分中的Leibniz公式]
萊布尼茨公式[含參變數常義積分中的Leibniz公式]
萊布尼茨公式[含參變數常義積分中的Leibniz公式]
萊布尼茨公式[含參變數常義積分中的Leibniz公式]
萊布尼茨公式[含參變數常義積分中的Leibniz公式]
萊布尼茨公式[含參變數常義積分中的Leibniz公式]
萊布尼茨公式[含參變數常義積分中的Leibniz公式]
萊布尼茨公式[含參變數常義積分中的Leibniz公式]
萊布尼茨公式[含參變數常義積分中的Leibniz公式]
萊布尼茨公式[含參變數常義積分中的Leibniz公式]
萊布尼茨公式[含參變數常義積分中的Leibniz公式]
萊布尼茨公式[含參變數常義積分中的Leibniz公式]
萊布尼茨公式[含參變數常義積分中的Leibniz公式]
萊布尼茨公式[含參變數常義積分中的Leibniz公式]
萊布尼茨公式[含參變數常義積分中的Leibniz公式]在數學中,微分是對函式的局部變化率的一種線性描 述。微分可以近似地描述當函式自變數的取值作足夠小的改變時,函式的值是怎樣改變的。當某些函式的自變數有一個微小的改變時,函式的變化可以分解為兩個部分。一個部分是線性部分:在一維情況下,它正比於自變數的變化量,可以表示成和一個與無關,只與函式及有關的量的乘積;在更廣泛的情況下,它是一個線性映射作用在上的值。另一部分是比更高階的無窮小,也就是說除以後仍然會趨於零。當改變數很小時,第二部分可以忽略不計,函式的變化量約等於第一部分,也就是函式在處的 微分,記作或。如果一個函式在某處具有以上的性質,就稱此函式在該點可微。
不是所有的函式的變化量都可以分為以上提到的兩個部分。若函式在某一點無法做到可微,便稱函式在該點不可微。
萊布尼茨公式[含參變數常義積分中的Leibniz公式]
萊布尼茨公式[含參變數常義積分中的Leibniz公式]
萊布尼茨公式[含參變數常義積分中的Leibniz公式]
萊布尼茨公式[含參變數常義積分中的Leibniz公式]
萊布尼茨公式[含參變數常義積分中的Leibniz公式]
萊布尼茨公式[含參變數常義積分中的Leibniz公式]
萊布尼茨公式[含參變數常義積分中的Leibniz公式]
萊布尼茨公式[含參變數常義積分中的Leibniz公式]
萊布尼茨公式[含參變數常義積分中的Leibniz公式]
萊布尼茨公式[含參變數常義積分中的Leibniz公式]
萊布尼茨公式[含參變數常義積分中的Leibniz公式]
萊布尼茨公式[含參變數常義積分中的Leibniz公式]
萊布尼茨公式[含參變數常義積分中的Leibniz公式]
萊布尼茨公式[含參變數常義積分中的Leibniz公式]
萊布尼茨公式[含參變數常義積分中的Leibniz公式]
萊布尼茨公式[含參變數常義積分中的Leibniz公式]
萊布尼茨公式[含參變數常義積分中的Leibniz公式]
萊布尼茨公式[含參變數常義積分中的Leibniz公式]
萊布尼茨公式[含參變數常義積分中的Leibniz公式]
萊布尼茨公式[含參變數常義積分中的Leibniz公式]設函式在某區間內有定義。對於內一點,當變動到附近的(也在此區間內)時,如果函式的增量可表示為(其中是不依賴於的常數),而是比高階的無窮小,那么稱函式在點是可微的,且稱作函式在點相應於自變數增量的微分,記作,即,是的線性主部。
萊布尼茨公式[含參變數常義積分中的Leibniz公式]
萊布尼茨公式[含參變數常義積分中的Leibniz公式]
萊布尼茨公式[含參變數常義積分中的Leibniz公式]
萊布尼茨公式[含參變數常義積分中的Leibniz公式]通常把自變數的增量稱為自變數的微分,記作,即。
人物簡介
德國自然科學家,客觀唯心主義哲學家,啟蒙思想家。生於萊比錫,死於漢諾瓦。早年就讀於萊比錫大學,於1663年獲得學士學位。1667年又獲阿爾特多夫大學法學博士學位。曾任美因茨選帝侯的外交官、宮廷顧問、圖書館長等職。1770年當選為英國皇家學會會員。同年,創建了德國科學院,擔任該院第一任院長。曾旅遊英、法、荷等國。主要著作有:《人類理智新論》(1765年)、《神正論》(1710年)、《單子論》(1714年)、《刑而上原論》,以及若干論文和大量信件。20世紀70年代,柏林科學院出版了17卷的《萊布尼茨著作與書信全集》。成就是多方面的。在數學上,與牛頓並稱為微積分的創始人,改進了帕斯卡的加法器,設計並製造了一種手搖的演算機,提出了自認為是和中國“先天八卦”相吻合的二進制,影響了後代計算技術的發展。在邏輯學上,最先提出充足理由律,是數理邏輯的先驅。在哲學上,建立了客觀唯心主義體系的“單子論”。在認識論上,是唯心主義的先驗論。在政治法律思想上,主張天賦人權,強調人的理性,認為自然法是理性的規範。萊布尼茨的自然法乃至國家理論,法律理論是同自然、宗教、道德及神內在地結合在一起的。認為人的道德生活在於求得自己本質的漸次的展開,經過整體不斷的理性努力,使人達到更大的完善。在“自我完善”倫理生活中,存在著一切道德的、社會的規範的根據——自然道德法則。這種自然道德法則是法律和國家的根本原理。國家的形成是基於人類自然的素質,是憑藉理性的認識而合理生成的。與社會形成的發展相適應,將自然法分成三個階段:第一個階段,在自然狀態中,把自然法可看作為“平均的正義”或“交換的正義”,它要求不侵犯他人,人人自由平等、互相尊重。為了人類的共同福利,需要相互限制任意行使的自然權利,由自然狀態進入國家狀態。第二個階段,在國家狀態下,自然法實現了“分配正義”的統治,其明晰的意識和合理的認識得到進一步的提高。這時的國家是法律上的統一的人格,它有其超出君主和人民的變更的永久性。理想的政體形式是“開明君主制”。認為,人民有服從君主的義務,亦有反抗君主的權利。國家的目是保證“人的完美”和共同幸福的實現。自然法的第三個階段,亦是最高階段,即進入“普遍正義”。這時的國家是人類社會最高的最完善的國家形式——“普遍國家”。萊布尼茨的學說影響了康德、黑格爾、費希特的思想。
