公式
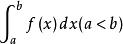
辛普森積分法設要求定積分 。
辛普森積分法
辛普森積分法
辛普森積分法將閉區間等分成 個小區間 。在每個小區間上,用拋物線近似函式 的曲線。
辛普森積分法設 。
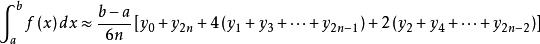
辛普森積分法可得到近似值 。
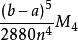
誤差
辛普森積分法
辛普森積分法
辛普森積分法
辛普森積分法最大誤差為,其中是在上的最大值。
辛普森積分法是一種用拋物線來近似函式曲線來求定積分數值解的方法。
辛普森積分法設要求定積分 。
辛普森積分法
辛普森積分法
辛普森積分法將閉區間等分成 個小區間 。在每個小區間上,用拋物線近似函式 的曲線。
辛普森積分法設 。
辛普森積分法可得到近似值 。
辛普森積分法
辛普森積分法
辛普森積分法
辛普森積分法最大誤差為,其中是在上的最大值。
《電磁波時程精細積分法》是2015年7月科學出版社出版的圖書,作者是馬西奎。
內容簡介 適宜人群 書籍目錄5.3辛普森積分法5.3.1辛普森積分法的基本思想5.3.2辛普森求積公式5.3.3實現辛普森積分法的基本步驟5.4變步長求積分法5.4.1變...積分法的基本步驟5.4.4變步長辛普森求積分法5.4.5實現變步長辛普森...
內容簡介 圖書目錄辛普森積分法5.3.1辛普森積分法的基本思想5.3.2辛普森求積公式5.3.3實現辛普森積分法的基本步驟5.4變步長求積分法5.4.1變步長求積...的基本步驟5.4.4變步長辛普森求積分法5.4.5實現變步長辛普森積分法...
內容簡介 圖書目錄近似值的公式習題第4章積分近似法4.1梯形積分法4.2梯形法的誤差4.3梯形積分法的算法4.4辛普森積分法4.5辛普森積分法的算法4.6雙重積分的近似法4.7梯形積分法計算雙重積分...
內容簡介 圖書目錄斯公式 牛頓-柯特斯公式 其中對辛普森法則辛普森法則(Simpson's rule,又稱 森遜法則、 辛普森法則)是: 牛頓-柯特斯公式 同樣地,辛普森法則也有多重的版本: 牛頓-柯特斯公式 牛頓-柯特斯公式 或寫成...
梯形法則 辛普森法則 牛頓-柯特斯公式4.2.2第二類換元法習題4.24.3不定積分的分部積分法習題4.34.4...與分部積分法5.4.1定積分的換元法5.4.2定積分的分部積分法習題...矩形法公式6.4.2梯形法公式6.4.3辛普森公式習題6.4第7章級數...
高等數學 上冊 第2版 圖書簡介: 前言 目錄最為人熟悉的貢獻是他在插值法(Interpolation)及數值積分法...
個人簡介: 成就及榮譽8.2.1 插值型求積方法8.2.2 梯形求積公式和辛普森求積公式... 復化梯形求積公式及其餘項8.3.2 復化辛普森求積公式及其餘項... 絕對穩定性9.5 線性多步法9.5.1 用數值積分法構造線性...
內容簡介 圖書目錄19.泰勒級數在狹義相對論中的套用20.列積分法21.積分∫trdt(r...31.梯形法誤差估計式的證明32.辛普森公式對三次函式精確嗎?33.攪拌...
內容簡介 圖書目錄