公式推導
分部積分法
分部積分法
分部積分法
分部積分法
分部積分法
分部積分法
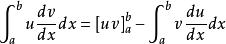
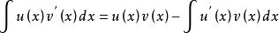
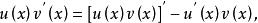
分部積分法分部積分法:設 及 是兩個關於 的函式,各自具有連續導數 及 ,且不定積分 存在,按照乘積函式求微分法則,則有 存在,且得 分部積分公式如下
分部積分法證明:由
分部積分法或
分部積分法對上式兩邊求不定積分,即得 分部積分公式,也將其簡寫為
分部積分法
分部積分法
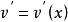
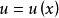
分部積分法如果將 和 用微分形式寫出,則亦可得出
分部積分法
分部積分法
分部積分法上兩式就把 的積分轉化為 的積分,即將複雜的被積函式簡單化。
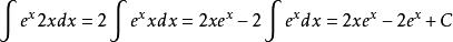
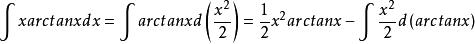
分部積分法例如,要求 ,則依分部積分法則,令
分部積分法如此
分部積分法則按上述公式有
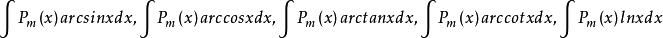
分部積分法四種典型模式
分部積分法
分部積分法
分部積分法
分部積分法
分部積分法
分部積分法
分部積分法
分部積分法
分部積分法
分部積分法一般地,從要求的積分式中將 湊成 是容易的,但通常有原則可依,也就是說不當的分部變換不僅不會使被積分式得到精簡,而且可能會更麻煩。分部積分法最重要之處就在於準確地選取 ,因為一旦 確定,則公式中右邊第二項 中的 也隨之確定,但為了使式子得到精簡,如何選取 則要依 的複雜程度決定,也就是說,選取的 一定要使 比之前的形式更簡單或更有利於求得積分。依照經驗,可以得到下面四種典型的模式。 記憶模式口訣:反(函式)對(數函式)冪(函式)三(角函式)指(數函式)。
模式一
分部積分法
分部積分法
分部積分法
分部積分法
分部積分法
分部積分法通過對 求微分後, 中的 比 更加簡潔,而 與 的類型相似或複雜程度相當。
分部積分法
分部積分法
分部積分法
分部積分法
分部積分法例如,對於形如 的不定積分(其中 為 次多項式),由於對多項式求微分可以降次,且三角函式或指函式的積分則較容易求得,所以可以令 ,而將另一個函式看成 通過分部求得積分。
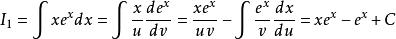
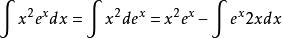
分部積分法例如 求
分部積分法首先,
對該式第二項再按此模式進行分部積分,得
分部積分法
分部積分法故原式
模式二
分部積分法
分部積分法
分部積分法
分部積分法
分部積分法
分部積分法
分部積分法
分部積分法通過對 求微分使得它的類型與 的類型相同或相近,然後將它們作為一個統一的函式來處理。例如對形如 等的積分,總是令 ,則 則為一個 次的多項式,另一個函式( 等)看成 。通過分部積分,很容易求出不定積分。
分部積分法例如,求
分部積分法而該式第二項為
分部積分法
分部積分法故原積分式
模式三
分部積分法
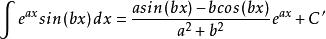
分部積分法利用有些函式經一次或二次求微分後不變的性質,通過一次或二次分部積分後,使等式右端再次產生 ,只要它的係數不為1,就可以利用解方程的方法求出原積分 。
分部積分法
分部積分法例如,對於積分 和
按法則對他們進行分部積分得
分部積分法
分部積分法這樣,所求積分均由另一個積分所表示出來,將這兩式相加和相減(即解方程)得到所求積分表達式
分部積分法以及
分部積分法這兩個通用表達式就可以求出該類型的所有積分式,比如
分部積分法模式四
分部積分法
分部積分法
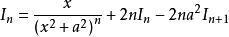
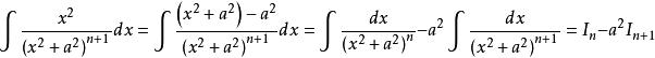
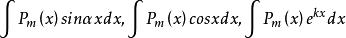
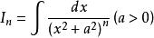
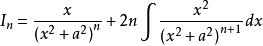
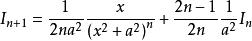
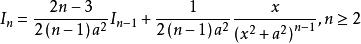
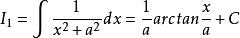
分部積分法對某些形如 的不定積分,利用分部積分可降低 的次數,求得遞推公式,然後再次利用遞推公式,求出 。
分部積分法例如,對於積分
分部積分法
分部積分法當 時,
分部積分法
分部積分法當 時,
而該式的第二項又可變換為
分部積分法將其帶入上式,則得到
分部積分法故
分部積分法最後,得到統一的遞推關係式
分部積分法
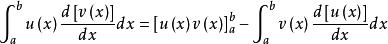
分部積分法定積分
與不定積分的分部積分法一樣,可得
分部積分法
分部積分法簡寫為
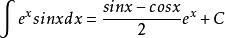
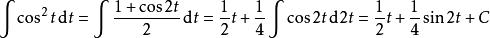
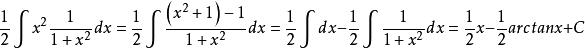
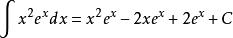
分部積分法例如
示例
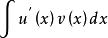
分部積分法例1:
例2 :
分部積分法
分部積分法
分部積分法
分部積分法
分部積分法
分部積分法
分部積分法
分部積分法回代即可得到 的值。

