基本介紹
強大數定律可能是機率論中最廣為人知的結果,它表明了獨立同分布的隨機變數序列的均值以機率1收斂到分布的均值 。
強大數定律
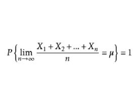
強大數定律定理1 [強大數定律] 設 為一獨立同分布的隨機變數序列,其公共均值 有限.則下式以機率1成立:
強大數定律即強大數定律可以表達為下式:
強大數定律作為強大數定律的一個套用,設有一獨立重複試驗序列,令E為某一事件.P(E)為事件E發生的機率,又令
強大數定律根據強大數定律,以機率1有
強大數定律
強大數定律因為 表示在前n次試驗中事件E發生的次數,因此方程(1)說明事件E在前n次試驗中發生的頻率以機率1收斂到它的機率P(E)(關於定理的證明請參考相應書籍 )。
可用圖1來說明強大數定律。圖1顯示了從一個[0,1]值域內的均勻分布分別提取1,2,3,…,500個可隨機變數值,計算得到的樣本均值。該隨機分布的期望值是0.5,隨著樣本數的增加,樣本均值收斂於期望值。
圖1強大數定律*弱大數定律和強大數定律的區別
強大數定律
強大數定律
強大數定律
強大數定律
強大數定律
強大數定律
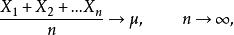
強大數定律弱大數定律表明對於足夠大的值n*,隨機變數 的值靠近 ,但它不能保證對於所有的 , 仍停留在 附近,因此, 可以無限多次離開0(儘管出現較大偏離的頻率不會很高)。而強大數定律能保證這種情況不會發生,特別地,強大數定律表明下式以機率1成立:對任何 ,
強大數定律只能出現有限次 。
幾種常見的強大數定律
波萊爾強大數定律
強大數定律定理2(波萊爾強大數定律) 設 相互獨立同分布,且
強大數定律
強大數定律
強大數定律其中 ,則 服從強大數定律。
強大數定律
強大數定律
強大數定律
強大數定律在此定理中,若令 表示貝努利試驗中與第k次試驗相聯繫的隨機變數、則定理說明, 成立的機率為1。也就是說( )這一事件的機率為0(當然還不能說 必然趨於p),從而我們進一步得到了頻率“穩定於”機率這一事實,它比貝努利大數定律有更強的結果。
柯爾莫哥洛夫定理
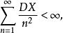
強大數定律定理3(柯爾莫哥洛夫判別法)設 為一相互獨立的隨機變數序列,若
強大數定律
強大數定律則服從強大數定律。
強大數定律
強大數定律
強大數定律定理4(柯爾莫哥洛夫定理) 設 為相互獨立同分布的隨機序列,若 ,則 服從強大數定律。
強大數定律
強大數定律定理5 若 ,則必有 。

