基本介紹
柯爾莫哥洛夫強大數律
柯爾莫哥洛夫強大數律
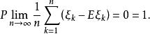
柯爾莫哥洛夫強大數律柯爾莫哥洛夫強大數律是指若為獨立同分布隨機變數序列,存在,則以機率1成立。
柯爾莫哥洛夫強大數律
柯爾莫哥洛夫強大數律
柯爾莫哥洛夫強大數律
柯爾莫哥洛夫強大數律
柯爾莫哥洛夫強大數律
柯爾莫哥洛夫強大數律
柯爾莫哥洛夫強大數律大數律中涉及到的隨機變數序列也可以不是相互獨立的。特別對於平穩序列,可看為序列按時間的平均,而是同一時刻不同樣本的統計平均。這時,表明隨時間的增長遍歷了它的各種可能狀態,因而使“時間平均”向“統計平均”收斂。這又稱為 平穩序列的遍歷性,它也是一種大數律。在平穩過程理論中,辛欽和G.D.伯克霍夫分別建立了向均方收斂和以機率1收斂的遍歷定理。
柯爾莫哥洛夫強大數律
柯爾莫哥洛夫強大數律
柯爾莫哥洛夫強大數律
柯爾莫哥洛夫強大數律
柯爾莫哥洛夫強大數律
柯爾莫哥洛夫強大數律
柯爾莫哥洛夫強大數律
柯爾莫哥洛夫強大數律
柯爾莫哥洛夫強大數律
柯爾莫哥洛夫強大數律不僅有算術平均向常數收斂的大數律,更一般地,對隨機變數序列,若存在常數序列及趨於無窮的,當時使依機率或以機率1收斂於零,則分別稱是依機率穩定或以機率1穩定的。這是大數律的一種推廣形式。由於依機率收斂於零與的分布向集中於零的退化分布弱收斂是等價的,因此弱大數律就是討論的分布向退化分布弱收斂的極限定理(見中心極限定理),可作為普遍極限定理的特例來處理 。
兩種情形
柯爾莫哥洛夫強大數律
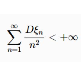
柯爾莫哥洛夫強大數律1. 設相互獨立,而且有有窮方差如果
柯爾莫哥洛夫強大數律
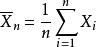
柯爾莫哥洛夫強大數律則隨機變數列服從強大數律,即
柯爾莫哥洛夫強大數律
柯爾莫哥洛夫強大數律
柯爾莫哥洛夫強大數律
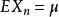
柯爾莫哥洛夫強大數律2. 設相互獨立同分布,如果數學期望有窮,則服從強大數律,即
柯爾莫哥洛夫強大數律這兩個定理是由俄國數學家 柯爾莫哥洛夫(Колмогоров,А.Н.)最早得到的 。
大數律
機率論中陳述隨機變數序列的算術平均值向常數收斂的定律。是機率論與數理統計學的基本定律之一。
當投擲一枚正常的錢幣時,如果重複次數非常大,就會發現其中出現正面與反面的次數近於相等。由於誤差不可避免,鉗工師傅要精確測量一個工件的尺寸時,先測足夠多次,再取各次測量的算術平均值,就能得到滿足精度要求的工件尺寸。
柯爾莫哥洛夫強大數律
柯爾莫哥洛夫強大數律一般地講,n個獨立同分布隨機變數的平均值隨n增大幾乎趨於它們的共同數學期望,這叫獨立同分布隨機變數序列的 大數定律。在更一般的情形里,涉及的隨機變數也可以不是獨立同分布的。大數律有多種形式,如 辛欽大數律、 柯爾莫哥洛夫 強大數律及各種隨機序列或隨機過程的大數律等等 。
柯爾莫哥洛夫
柯爾莫哥洛夫(1903-1987)是蘇聯數學家。1920年起就學於莫斯科大學,1922年在校期間完成關於傅立葉級數、解析集合的著名論文。其後連續發表了許多重要的研究成果。1925年畢業後,留校任研究助理,開始研究獨立隨機變數的級數收斂問題及發散時的階數,提出了著名的柯爾莫哥洛夫0-1律、柯爾莫哥洛夫不等式、辛欽-柯爾莫哥洛夫三級數定理、柯爾莫哥洛夫強大數律、柯爾莫哥洛夫判別法、柯爾莫哥洛夫譜等。1929年發表論文《測度的一般理論和機率論》,提出機率的公理化定義。用測度論的語言將機率論確立為現代數學的一個領域是其在機率論方面的一大功績。1931年任莫斯科大學教授。1939年成為蘇聯科學院院士。在《機率論的解析方法》中詳盡闡述了無後效隨機過程理論的原理,建立了馬爾可夫過程的理論,標誌著機率論發展的一個新時期。從20世紀50年代中期起的研究轉向信息動力系統理論、資訊理論、函式論的內在聯繫、希爾伯特第13問題、有限自動機等方面,都得到了奠基性的結論 。

