對數級數分布
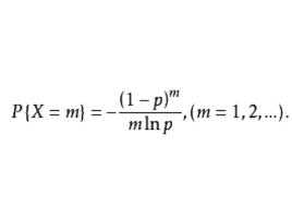
對數分布對數級數分布亦稱對數分布,是負二項分布的極限形式。稱隨機變數X服從參數為的對數級數分布,如果
對數分布此分布的機率,恰好是函式
對數分布
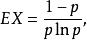
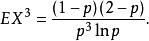
對數分布關於的冪級數展開式的項,因分布而得名。其數字特徵
對數分布
對數分布
對數分布
對數分布
對數分布當參數時,參數為的負二項分布的極限分布是對數級數分布。對數級數分布,用於描繪類型或屬性的分布的統計規律 。
對數分布
稱隨機變數X服從參數為n (自然數)的對數分布,如果
對數分布對數常態分配
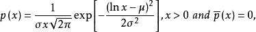
這種分布也稱為 對數正態或對數常態分配,具有以下形式:
對數分布
對數分布它具有與常態分配類似的性質,如果變數Y符合常態分配,則為對
對數分布
對數分布數常態分配,根據中心極限法則,一些的算術平均數也就相應地成了的幾何平均數:
對數分布
對數分布
對數分布和不是對數常態分配的均值和標準方差,它們只是相應常態分配的均值和標準方差。
對數常態分配對大尺度變數特別有意義,通過定義可以看出它不能是負數。大尺度變數的對數分布值可以每次計算,負值的對數分布結果為零,如熱傳導等許多專有物質屬性的物理量基本被限定為正值,對於描述這類相關變數的對數分布是一個理想的選擇 。

