定義
偏態分布(skewness distribution)指頻數分布的高峰位於一側,尾部向另一側延伸的分布。它分為正偏態和負偏態。偏態分布的資料有時取對數後可以轉化為常態分配,反映偏態分布的集中趨勢往往用中位數。
種類
偏態分布分為 正偏態 分布和 負偏態分布。
正偏態分布是相對常態分配而言的。當用累加次數曲線法檢驗數據是否為常態分配時,若M>M>M時,即平均數大於中數,中數又大於眾數,則數據的分布是屬於正偏態分布。正偏態分布的特徵是曲線的最高點偏向X軸的左邊,位於左半部分的曲線比常態分配的曲線更陡,而右半部分的曲線比較平緩,並且其尾線比起左半部分的曲線更長,無限延伸直到接近X軸。
負偏態分布也是相對常態分配而言的。當用累加次數曲線法檢驗數據是否為常態分配時,若M<M<M時,即平均數小於中數,中數又小於眾數,則數據的分布是屬於負偏態分布。負偏態分布的特徵是曲線的最高點偏向X軸的右邊,位於右半部分的曲線比常態分配的曲線更陡,而左半部分的曲線比較平緩,並且其尾線比起右半部分的曲線更長,無限延伸直到接近X軸 。
圖1(a) 正偏態
圖1(b) 負偏態分組下的眾數
當均值大於眾數時稱為 正偏態;當均值小於眾數時稱為 負偏態。
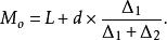
在組距分組情況下, 眾數的計算要考慮最大頻數所在組相鄰組的分布,其計算公式如下:
偏態分布
偏態分布
偏態分布式中,L=最大頻數所在組的下限值,d=最大頻數所在組的組距,=最大頻數所在組的頻數與上組頻數之差,=最大頻數所在組的頻數與下組頻數之差。
在組距分組條件下, 中位數的計算要考慮頻數的全部排序,其計算公式如下:
偏態分布
偏態分布式中,L=頻數累積到50%()所在組的下限值,d=頻數累積到50%所在組的組距,S=頻數累積到50%所在組上組的累積頻數,f=頻數累積到50%所在組的頻數 。
偏離係數
偏態分布(skew distribution),又稱歪分布,指偏離對稱的變數值的頻數分布,偏離程度可用 偏離係數 (asymmetry coefficient)表示。其公式為:
偏態分布
偏態分布
偏態分布
偏態分布
偏態分布
偏態分布
偏態分布
偏態分布
偏態分布
偏態分布式中 代表偏度量數; 式中X 為變數值, 為樣本均數,n為頻數,“ ”為歸併校正數,如計算過程中用組距時則須經校正,若用原始數據直接計算,可不必經“ ”的校正。若 為0,表示對稱; 為正值時,曲線呈正偏態,此時曲線較長的尾部在右側,所以也稱為向右偏態;為負值時,曲線呈負偏態,此時曲線較長的尾部在左側,所以也稱為 向左偏態。的絕對值越大,表示偏離越甚。檢驗樣本偏度量數是否顯著,需進行u檢驗。呈偏態分布的資料,有些可通過變數代換變為正態 。
偏度係數反映數據分布偏移中心位置的程度,記為SK,則有
SK= (均值一中位數)/標準差.
在常態分配條件下,由於均值等於中位數,所以偏度係數等於0。當偏度係數大於0時,則為正偏態;當偏度係數小於0時,則為負偏態 。

