偏度簡介
偏度(skewness),是統計數據分布偏斜方向和程度的度量,是統計數據分布非對稱程度的數字特徵。偏度(Skewness)亦稱偏態、偏態係數。
表征機率分布密度曲線相對於平均值不對稱程度的特徵數。直觀看來就是密度函式曲線尾部的相對長度。
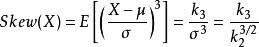
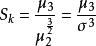
偏度定義上偏度是樣本的三階標準化矩,定義式如下,其中 分別表示二階和三階中心矩:
偏度
偏度常態分配的偏度為0,兩側尾部長度對稱。若以bs表示偏度。bs<0稱分布具有負偏離,也稱左偏態,此時數據位於均值左邊的比位於右邊的少,直觀表現為左邊的尾部相對於與右邊的尾部要長,因為有少數變數值很小,使曲線左側尾部拖得很長;bs>0稱分布具有正偏離,也稱右偏態,此時數據位於均值右邊的比位於左邊的少,直觀表現為右邊的尾部相對於與左邊的尾部要長,因為有少數變數值很大,使曲線右側尾部拖得很長;而bs接近0則可認為分布是對稱的。若知道分布有可能在偏度上偏離常態分配時,可用偏離來檢驗分布的正態性。右偏時一般算術平均數>中位數>眾數,左偏時相反,即眾數>中位數>平均數。常態分配三者相等。
計算
偏度是利用3階矩定義的,偏度的計算公式為:
偏度公式中, S——偏度;μ——3階中心矩;σ——標準差。
在一般情形下,當統計數據為右偏分布時, S> 0,且 S值越大,右偏程度越高;當統計數據為左偏分布時, S< 0,且 S值越小,左偏程度越高。當統計數據為對稱分布時,顯然有 S= 0。
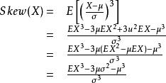
在實際計算中雖然可以採用定義式進行計算,但是需要多次遍歷各個樣本以計算均值和方差,當樣本容量很大時耗時很大。所以常常利用1至3階原點矩進行計算:
首先:
偏度
偏度於是:
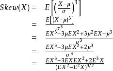
偏度上面的矩方法同時還適用於峰度的計算。針對偏度還所以可以使用下面公式簡化計算:
偏度峰度
峰度(Kurtosis)與偏度類似,是描述總體中所有取值分布形態陡緩程度的統計量。這個統計量需要與常態分配相比較,峰度為0表示該總體數據分布與常態分配的陡緩程度相同;峰度大於0表示該總體數據分布與常態分配相比較為陡峭,為尖頂峰;峰度小於0表示該總體數據分布與常態分配相比較為平坦,為平頂峰。峰度的絕對值數值越大表示其分布形態的陡緩程度與常態分配的差異程度越大。
峰度的具體計算公式為:
偏度
