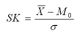
該偏度係數記為SK,計算公式為

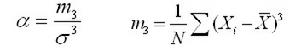
二、使用三階中心矩計量的偏度係數
該偏度係數是用三階中心矩除以標準差的三次方來度量偏斜程度,記為,計算公式為
使用三階中心距計量的偏度係數偏度係數 可以適用任何數據。 和SK的計算方法不同,因此根據同一資料計算的結果也不相同。
設隨機變數X的三階矩存在,則稱三階中心矩除以標準差的三次方為
為X的偏度係數。偏度係數用以描述常態分配的分布形狀特徵。
測度地理數據分布的不對稱性情況,刻畫以平均值為中心的偏向情況,

在機率論中其表達式為 ∫(x-u)^3 f(x)dx。

