定義
負偏態分布(negative skewness distribution)是指頻數分布的高峰偏於右側,偏態係數為負值的頻數分布形態。偏態分布分為正偏態和負偏態。當均值大於眾數時稱為 正偏態;當均值小於眾數時稱為 負偏態。
圖像及參數分析
負偏態
負偏態
負偏態常態分配之機率密度是對直線左右對稱的。它的均值(數字期望)、中位數、眾數重合在這一點(圖1) 。有
負偏態
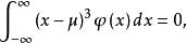
負偏態其中為以上的密度函式。
圖1
負偏態
負偏態若有隨機變數其均值,而
負偏態
負偏態
負偏態
負偏態
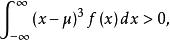
負偏態則稱是 正偏態的,圖形為右側有一個長尾而左側沒有,此時眾數最小,其次為中位數,期望最大,如圖2所示。
圖2
負偏態
負偏態
負偏態
負偏態
負偏態
負偏態
負偏態
負偏態
負偏態
負偏態圖2顯示取右側極端值是有可能的,而均值受極端值的影響最大,與受極端值的影響很小。這是因為均值是矩(一階中心矩),無論是原點矩還是中心矩均受極端值的影 響較大,如圖2,值被右側極端值拉向右方比及都大很多。與不是矩,受極端值影響小得多,這是它們比均值優越的性質。
負偏態
負偏態
負偏態
負偏態
負偏態
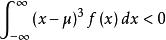
負偏態類似地,若,則稱為 負偏態的,密度函式在左側有一個長尾而右側沒有,如圖3所示,此時最小,其次,最大。
負偏態設,則稱
負偏態
負偏態
負偏態
負偏態
負偏態為的偏度,當時,機率密度對直線對稱。
圖3
負偏態
負偏態
負偏態有時,中位數比均值提供更多的信息。如人的壽命的分布密度函式是正偏態的,即有個別人有很高的壽命。當我們說中國人的平均壽命是71歲時,並不表示我們有1/2的可能活到71歲。此時,若中位數時,則表示我們有1/2的可能活到65歲而不是71歲。正偏態時,分布的尾巴在右側,中位數總是比均數小的。
均值雖然有不穩健的缺點,但它有非常重要的優點是中位數和眾數所無法取代的 。

