分類
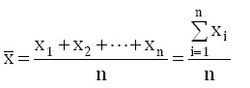
有算術平均值,幾何平均值,平方平均值(均方根平均值,rms),調和平均值,加權平均值等其中以算術平均值最為常見,計算方法為

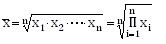
幾何平均值的計算方法為:

值得注意的是,幾何平均值是相對於正數而言的,也就是說上面的X1,X2,..Xn必須是正數
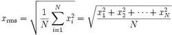
均方根平均值計算方法為:

調和平均值計算方法為:N/(1/x1+1/x2+...+1/xn)
加權平均值算法為:


平均值(The average value),有算術平均值,幾何平均值,平方平均值(均方根平均值,rms),調和平均值,加權平均值等其中以算術平均值最為常見。




""時間段內的金額在除以"n 請注意你不能計算"n "時間的移動平均值.比如
滑動平均值是從一個有n項的時間序列中來計算多個連續m項序列的平均值。
平均值法為一數學術語,就是根據兩組分解物質的某種平均值來推斷兩物質範圍的解題方法。
詞語釋義 原理與套用範圍若一組測定值,取對數後遵從常態分配,則稱其遵循對數常態分配。 其平均值(見圖)為將μlgx取反對數之後,G=1g-1μlgx,稱為對數平均值。 a+b�...
對數平均值 geometric mean 解析"所謂氣候平均值
假設已知precision 與recall的調和平均值。 =2/(1/precision
定義 舉例、6、7、8、5、4、7、8、6、20,全部資料的平均值是7.1,實際上...
定義 舉例 知識拓展年平均值是指將發放到軍人名下的復員費、自主擇業費等一次性費用的總額按具體年限均分得出的數額。
名稱 解釋