歷史
對數16、17世紀之交,隨著天文、航海、工程、貿易以及軍事的發展,改進數字計算方法成了當務之急。納皮爾(J.Napier,1550—1617)正是在研究天文學的過程中,為了簡化其中的計算而發明了對數.對數的發明是數學史上的重大事件,天文學界更是以近乎狂喜的心情迎接這一發明。恩格斯曾經把對數的發明和解析幾何的創始、微積分的建立稱為17世紀數學的三大成就,伽利略也說過:“給我空間、時間及對數,我就可以創造一個宇宙。”
對數發明之前,人們對三角運算中將三角函式的積化為三角函式的和或差的方法已很熟悉,而且德國數學家斯蒂弗爾(M.Stifel,約1487—1567)在《綜合算術》(1544年)中闡述了一種如下所示的一種對應關係:![]()
該關係可被歸納為
,同時該種關係之間存在的運算性質(即上面一行數字的乘、除、乘方、開方對應於下面一行數字的加、減、乘、除)也已廣為人知。經過對運算體系的多年研究,納皮爾在1614年出版了《奇妙的對數定律說明書》,書中藉助運動學,用幾何術語闡述了對數方法。
將對數加以改造使之廣泛流傳的是納皮爾的朋友布里格斯(H.Briggs,1561—1631),他通過研究《奇妙的對數定律說明書》,感到其中的對數用起來很不方便,於是與納皮爾商定,使1的對數為0,10的對數為1,這樣就得到了以10為底的常用對數。由於我們的數系是十進制,因此它在數值上計算具有優越性。1624年,布里格斯出版了《對數算術》,公布了以10為底包含1~20000及90000~100000的14位常用對數表。
根據對數運算原理,人們還發明了對數計算尺。300多年來,對數計算尺一直是科學工作者,特別是工程技術人員必備的計算工具,直到20世紀70年代才讓位給電子計算器。儘管作為一種計算工具,對數計算尺、對數表都不再重要了,但是,對數的思想方法卻仍然具有生命力。
從對數的發明過程我們可以發現,納皮爾在討論對數概念時,並沒有使用指數與對數的互逆關係,造成這種狀況的主要原因是當時還沒有明確的指數概念,就連指數符號也是在20多年後的1637年才由法國數學家笛卡兒(R.Descartes,1596—1650)開始使用。直到18世紀,才由瑞士數學家歐拉發現了指數與對數的互逆關係。在1770年出版的一部著作中,歐拉首先使用來定義
,他指出:“對數源於指數”。對數的發明先於指數,成為數學史上的珍聞。
從對數的發明過程可以看到,社會生產、科學技術的需要是數學發展的主要動力。建立對數與指數之間的聯繫的過程表明,使用較好的符號體系對於數學的發展是至關重要的。實際上,好的數學符號能夠大大地節省人的思維負擔。數學家們對數學符號體系的發展與完善作出了長期而艱苦的努力。
符號
以a為底N的對數記作
。對數符號log出自拉丁文logarithm,最早由義大利數學家卡瓦列里(Cavalieri)所使用。20世紀初,形成了對數的現代表示。為了使用方便,人們逐漸把以10為底的常用對數及以無理數e為底的自然對數分別記作lgN和lnN。
定義
如果1、特別地,我們稱以10為底的對數叫做常用對數(common logarithm),並記為lg。
2、稱以無理數e(e=2.71828...)為底的對數稱為自然對數(natural logarithm),並記為ln。
3、零沒有對數。
4、在實數範圍內,負數無對數。在複數範圍內,負數是有對數的。
事實上,當
,
,則有e(2k+1)πi+1=0,所以ln(-1)的具有周期性的多個值,ln(-1)=(2k+1)πi。這樣,任意一個負數的自然對數都具有周期性的多個值。例如:ln(-5)=(2k+1)πi+ln5。
方程式
基本公式
| |
| |
| |
| |
| |
| |
| |
| |
證明過程
| |
| |
| |
| |
| |
| |
| |
| |
對數函式
對數定義
函式
複變函數
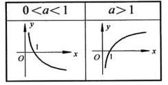
函式圖象
對數1.對數函式的圖象都過(1,0)點.
2.對於y=log(a)(n)函式,
①,當0<1時,圖象上函式顯示為(0,+∞)單減.隨著a 的增大,圖象逐漸以(1,0)點為軸順時針轉動,但不超過X=1.
②當a>1時,圖象上顯示函式為(0,+∞)單增,隨著a的增大,圖象逐漸以(1.0)點為軸逆時針轉動,但不超過X=1.
3.與其他函式與反函式之間圖象關係相同,對數函式和指數函式的圖象關於直線y=x對稱。
數據表
100以內對數表
| log | 0 | 1 | 2 | 3 | 4 | 5 | 6 | 7 | 8 | 9 |
| 10 | 0000 | 0043 | 0086 | 0128 | 0170 | 0212 | 0253 | 0294 | 0334 | 0374 |
| 11 | 0414 | 0453 | 0492 | 0531 | 0569 | 0607 | 0645 | 0682 | 0719 | 0755 |
| 12 | 0792 | 0828 | 0864 | 0899 | 0934 | 0969 | 1004 | 1038 | 1072 | 1106 |
| 13 | 1139 | 1173 | 1206 | 1239 | 1271 | 1303 | 1335 | 1367 | 1399 | 1430 |
| 14 | 1461 | 1492 | 1523 | 1553 | 1584 | 1614 | 1644 | 1673 | 1703 | 1732 |
| 15 | 1761 | 1790 | 1818 | 1847 | 1875 | 1903 | 1931 | 1959 | 1987 | 2014 |
| 16 | 2041 | 2068 | 2095 | 2122 | 2148 | 2175 | 2201 | 2227 | 2253 | 2279 |
| 17 | 2304 | 2330 | 2355 | 2380 | 2405 | 2430 | 2455 | 2480 | 2504 | 2529 |
| 18 | 2553 | 2577 | 2601 | 2625 | 2648 | 2672 | 2695 | 2718 | 2742 | 2765 |
| 19 | 2788 | 2810 | 2833 | 2856 | 2878 | 2900 | 2923 | 2945 | 2967 | 2989 |
| 20 | 3010 | 3032 | 3054 | 3075 | 3096 | 3118 | 3139 | 3160 | 3181 | 3201 |
| 21 | 3222 | 3243 | 3263 | 3284 | 3304 | 3324 | 3345 | 3365 | 3385 | 3404 |
| 22 | 3424 | 3444 | 3464 | 3483 | 3502 | 3522 | 3541 | 3560 | 3579 | 3598 |
| 23 | 3617 | 3636 | 3655 | 3674 | 3692 | 3711 | 3729 | 3747 | 3766 | 3784 |
| 24 | 3802 | 3820 | 3838 | 3856 | 3874 | 3892 | 3909 | 3927 | 3945 | 3962 |
| 25 | 3979 | 3997 | 4014 | 4031 | 4048 | 4065 | 4082 | 4099 | 4116 | 4133 |
| 26 | 4150 | 4166 | 4183 | 4200 | 4216 | 4232 | 4249 | 4265 | 4281 | 4298 |
| 27 | 4314 | 4330 | 4346 | 4362 | 4378 | 4393 | 4409 | 4425 | 4440 | 4456 |
| 28 | 4472 | 4487 | 4502 | 4518 | 4533 | 4548 | 4564 | 4579 | 4594 | 4609 |
| 29 | 4624 | 4639 | 4654 | 4669 | 4683 | 4698 | 4713 | 4728 | 4742 | 4757 |
| 30 | 4771 | 4786 | 4800 | 4814 | 4829 | 4843 | 4857 | 4871 | 4886 | 4900 |
| 31 | 4914 | 4928 | 4942 | 4955 | 4969 | 4983 | 4997 | 5011 | 5024 | 5038 |
| 32 | 5051 | 5065 | 5079 | 5092 | 5105 | 5119 | 5132 | 5145 | 5159 | 5172 |
| 33 | 5185 | 5198 | 5211 | 5224 | 5237 | 5250 | 5263 | 5276 | 5289 | 5302 |
| 34 | 5315 | 5328 | 5340 | 5353 | 5366 | 5378 | 5391 | 5403 | 5416 | 5428 |
| 35 | 5441 | 5453 | 5465 | 5478 | 5490 | 5502 | 5514 | 5527 | 5539 | 5551 |
| 36 | 5563 | 5575 | 5587 | 5599 | 5611 | 5623 | 5635 | 5647 | 5658 | 5670 |
| 37 | 5682 | 5694 | 5705 | 5717 | 5729 | 5740 | 5752 | 5763 | 5775 | 5786 |
| 38 | 5798 | 5809 | 5821 | 5832 | 5843 | 5855 | 5866 | 5877 | 5888 | 5899 |
| 39 | 5911 | 5922 | 5933 | 5944 | 5955 | 5966 | 5977 | 5988 | 5999 | 6010 |
| 40 | 6021 | 6031 | 6042 | 6053 | 6064 | 6075 | 6085 | 6096 | 6107 | 6117 |
| 41 | 6128 | 6138 | 6149 | 6160 | 6170 | 6180 | 6191 | 6201 | 6212 | 6222 |
| 42 | 6232 | 6243 | 6253 | 6263 | 6274 | 6284 | 6294 | 6304 | 6314 | 6325 |
| 43 | 6335 | 6345 | 6355 | 6365 | 6375 | 6385 | 6395 | 6405 | 6415 | 6425 |
| 44 | 6435 | 6444 | 6454 | 6464 | 6474 | 6484 | 6493 | 6503 | 6513 | 6522 |
| 45 | 6532 | 6542 | 6551 | 6561 | 6571 | 6580 | 6590 | 6599 | 6609 | 6618 |
| 46 | 6628 | 6637 | 6646 | 6656 | 6665 | 6675 | 6684 | 6693 | 6702 | 6712 |
| 47 | 6721 | 6730 | 6739 | 6749 | 6758 | 6767 | 6776 | 6785 | 6794 | 6803 |
| 48 | 6812 | 6821 | 6830 | 6839 | 6848 | 6857 | 6866 | 6875 | 6884 | 6893 |
| 49 | 6902 | 6911 | 6920 | 6928 | 6937 | 6946 | 6955 | 6964 | 6972 | 6981 |
| 50 | 6990 | 6998 | 7007 | 7016 | 7024 | 7033 | 7042 | 7050 | 7059 | 7067 |
| 51 | 7076 | 7084 | 7093 | 7101 | 7110 | 7118 | 7126 | 7135 | 7143 | 7152 |
| 52 | 7160 | 7168 | 7177 | 7185 | 7193 | 7202 | 7210 | 7218 | 7226 | 7235 |
| 53 | 7243 | 7251 | 7259 | 7267 | 7275 | 7284 | 7292 | 7300 | 7308 | 7316 |
| 54 | 7324 | 7332 | 7340 | 7348 | 7356 | 7364 | 7372 | 7380 | 7388 | 7396 |
| 55 | 7404 | 7412 | 7419 | 7427 | 7435 | 7443 | 7451 | 7459 | 7466 | 7474 |
| 56 | 7482 | 7490 | 7497 | 7505 | 7513 | 7520 | 7528 | 7536 | 7543 | 7551 |
| 57 | 7559 | 7566 | 7574 | 7582 | 7589 | 7597 | 7604 | 7612 | 7619 | 7627 |
| 58 | 7634 | 7642 | 7649 | 7657 | 7664 | 7672 | 7679 | 7686 | 7694 | 7701 |
| 59 | 7709 | 7716 | 7723 | 7731 | 7738 | 7745 | 7752 | 7760 | 7767 | 7774 |
| 60 | 7782 | 7789 | 7796 | 7803 | 7810 | 7818 | 7825 | 7832 | 7839 | 7846 |
| 61 | 7853 | 7860 | 7868 | 7875 | 7882 | 7889 | 7896 | 7903 | 7910 | 7917 |
| 62 | 7924 | 7931 | 7938 | 7945 | 7952 | 7959 | 7966 | 7973 | 7980 | 7987 |
| 63 | 7993 | 8000 | 8007 | 8014 | 8021 | 8028 | 8035 | 8041 | 8048 | 8055 |
| 64 | 8062 | 8069 | 8075 | 8082 | 8089 | 8096 | 8102 | 8109 | 8116 | 8122 |
| 65 | 8129 | 8136 | 8142 | 8149 | 8156 | 8162 | 8169 | 8176 | 8182 | 8189 |
| 66 | 8195 | 8202 | 8209 | 8215 | 8222 | 8228 | 8235 | 8241 | 8248 | 8254 |
| 67 | 8261 | 8267 | 8274 | 8280 | 8287 | 8293 | 8299 | 8306 | 8312 | 8319 |
| 68 | 8325 | 8331 | 8338 | 8344 | 8351 | 8357 | 8363 | 8370 | 8376 | 8382 |
| 69 | 8388 | 8395 | 8401 | 8407 | 8414 | 8420 | 8426 | 8432 | 8439 | 8445 |
| 70 | 8451 | 8457 | 8463 | 8470 | 8476 | 8482 | 8488 | 8494 | 8500 | 8506 |
| 71 | 8513 | 8519 | 8525 | 8531 | 8537 | 8543 | 8549 | 8555 | 8561 | 8567 |
| 72 | 8573 | 8579 | 8585 | 8591 | 8597 | 8603 | 8609 | 8615 | 8621 | 8627 |
| 73 | 8633 | 8639 | 8645 | 8651 | 8657 | 8663 | 8669 | 8675 | 8681 | 8686 |
| 74 | 8692 | 8698 | 8704 | 8710 | 8716 | 8722 | 8727 | 8733 | 8739 | 8745 |
| 75 | 8751 | 8756 | 8762 | 8768 | 8774 | 8779 | 8785 | 8791 | 8797 | 8802 |
| 76 | 8808 | 8814 | 8820 | 8825 | 8831 | 8837 | 8842 | 8848 | 8854 | 8859 |
| 77 | 8865 | 8871 | 8876 | 8882 | 8887 | 8893 | 8899 | 8904 | 8910 | 8915 |
| 78 | 8921 | 8927 | 8932 | 8938 | 8943 | 8949 | 8954 | 8960 | 8965 | 8971 |
| 79 | 8976 | 8982 | 8987 | 8993 | 8998 | 9004 | 9009 | 9015 | 9020 | 9025 |
| 80 | 9031 | 9036 | 9042 | 9047 | 9053 | 9058 | 9063 | 9069 | 9074 | 9079 |
| 81 | 9085 | 9090 | 9096 | 9101 | 9106 | 9112 | 9117 | 9122 | 9128 | 9133 |
| 82 | 9138 | 9143 | 9149 | 9154 | 9159 | 9165 | 9170 | 9175 | 9180 | 9186 |
| 83 | 9191 | 9196 | 9201 | 9206 | 9212 | 9217 | 9222 | 9227 | 9232 | 9238 |
| 84 | 9243 | 9248 | 9253 | 9258 | 9263 | 9269 | 9274 | 9279 | 9284 | 9289 |
| 85 | 9294 | 9299 | 9304 | 9309 | 9315 | 9320 | 9325 | 9330 | 9335 | 9340 |
| 86 | 9345 | 9350 | 9355 | 9360 | 9365 | 9370 | 9375 | 9380 | 9385 | 9390 |
| 87 | 9395 | 9400 | 9405 | 9410 | 9415 | 9420 | 9425 | 9430 | 9435 | 9440 |
| 88 | 9445 | 9450 | 9455 | 9460 | 9465 | 9469 | 9474 | 9479 | 9484 | 9489 |
| 89 | 9494 | 9499 | 9504 | 9509 | 9513 | 9518 | 9523 | 9528 | 9533 | 9538 |
| 90 | 9542 | 9547 | 9552 | 9557 | 9562 | 9566 | 9571 | 9576 | 9581 | 9586 |
| 91 | 9590 | 9595 | 9600 | 9605 | 9609 | 9614 | 9619 | 9624 | 9628 | 9633 |
| 92 | 9638 | 9643 | 9647 | 9652 | 9657 | 9661 | 9666 | 9671 | 9675 | 9680 |
| 93 | 9685 | 9689 | 9694 | 9699 | 9703 | 9708 | 9713 | 9717 | 9722 | 9727 |
| 94 | 9731 | 9736 | 9741 | 9745 | 9750 | 9754 | 9759 | 9763 | 9768 | 9773 |
| 95 | 9777 | 9782 | 9786 | 9791 | 9795 | 9800 | 9805 | 9809 | 9814 | 9818 |
| 96 | 9823 | 9827 | 9832 | 9836 | 9841 | 9845 | 9850 | 9854 | 9859 | 9863 |
| 97 | 9868 | 9872 | 9877 | 9881 | 9886 | 9890 | 9894 | 9899 | 9903 | 9908 |
| 98 | 9912 | 9917 | 9921 | 9926 | 9930 | 9934 | 9939 | 9943 | 9948 | 9952 |
| 99 | 9956 | 9961 | 9965 | 9969 | 9974 | 9978 | 9983 | 9987 | 9991 | 9996 |

