簡介
在數學中,埃爾米特變換是以數學家查爾斯·埃爾米特命名的一個整體變換,它使用埃爾米特多項式H(x)作為變換的核心。 這是Lodeath Debnath於1964年首次推出的。
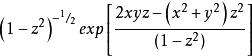
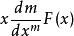
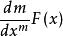
函式F(x)的埃爾米特變換是:
埃爾米特變換 逆埃爾米特變換由下式給出
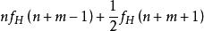
埃爾米特變換 性質
(1) σ為Hermite變換 ⇒ σ為正規變換
(2)Hermite變換的特徵值均為實數.
(3)Hermite變換在某SOB下為實對角陣;
(4)Hermite矩陣可酉對角化為實對角陣.
埃爾米特變換表
埃爾米特變換 | 埃爾米特變換 |
埃爾米特變換 | 埃爾米特變換 |
埃爾米特變換 | 埃爾米特變換 |
埃爾米特變換 | 埃爾米特變換 |
埃爾米特變換 | 埃爾米特變換 |
埃爾米特變換 | 埃爾米特變換 |
埃爾米特變換 | 埃爾米特變換 |
埃爾米特變換 | 埃爾米特變換 |
埃爾米特變換 | 埃爾米特變換 |
埃爾米特變換
埃爾米特變換
埃爾米特變換
埃爾米特變換
埃爾米特變換
埃爾米特變換
埃爾米特變換
埃爾米特變換
埃爾米特變換
埃爾米特變換
埃爾米特變換
埃爾米特變換
埃爾米特變換
埃爾米特變換
埃爾米特變換
埃爾米特變換
埃爾米特變換
埃爾米特變換 