定義
householder變換
householder變換
householder變換
householder變換如果 給出為單位向量而 是單位矩陣,則描述上述線性變換的是 豪斯霍爾德矩陣( 表示向量 的共軛轉置)
householder變換
圖1.豪斯霍爾德變換示意圖
householder變換豪斯霍爾德變換示意圖:向量 x在豪斯霍爾德向量v的超平面 上的鏡像是 Hx, H是豪斯霍爾德矩陣。
例:2維平面
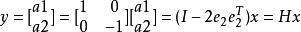
householder變換我們設 ,則有下式:
householder變換
householder變換
householder變換
householder變換其中 和 是單位向量。 ,是正交矩陣,且detH=-1。
性質
householder變換矩陣有如下性質:
householder變換1)它是埃爾米特矩陣:
householder變換2)它是正交矩陣:
householder變換3)因此也是對合的:
householder變換
householder變換
householder變換進一步的, 實際上按上面描述的那樣反射了點 (用它的位置向量 來識別),因為
householder變換
householder變換
householder變換這裡的 表示點積。注意等於從 X到超平面的距離。
套用
householder變換
householder變換householder變換可以將向量的某些元素置零,同時保持該向量的範數不變。例如,將非零列向量 變換為單位基向量 的豪斯霍爾德矩陣為
householder變換
householder變換其中householder向量 滿足:
householder變換Dubrulle 在2000年給出了將豪斯霍爾德變換套用於生成一個一般的稀疏向量的一個數值穩定的算法。
對一個矩陣的各個列向量逐一進行相應的豪斯霍爾德變換,可以將這個矩陣變換為上海森伯格矩陣、上三角矩陣等形式。後者就是QR分解的豪斯霍爾德算法 。
