Householder矩陣
豪斯霍爾德法一般地,在 中,將向量x映射為關於“與單位向量u正交的n-1維子空間”對稱的向量y的鏡像變換定義如下:
豪斯霍爾德法設單位向量 ,稱
豪斯霍爾德法為Householder矩陣(初等反射矩陣),由Householder矩陣確定的線性變換成為Householder變換(初等反射變換、鏡像變換或反射變換)。
Householder矩陣的性質
Householder矩陣具有下列性質:
豪斯霍爾德法(1) (對稱矩陣)
豪斯霍爾德法(2) (正交矩陣);
豪斯霍爾德法(3) (對合矩陣);
(4)detH=-1;
豪斯霍爾德法(5) (自逆矩陣);
豪斯霍爾德法(6) 是n+r階Householder矩陣。
Householder變換舉例
已知:
豪斯霍爾德法則Householder變換過程為:
豪斯霍爾德法
豪斯霍爾德法
豪斯霍爾德法1)計算H1:令 ,則 。取λ1= ,
豪斯霍爾德法
豪斯霍爾德法
豪斯霍爾德法
豪斯霍爾德法
豪斯霍爾德法
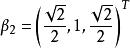
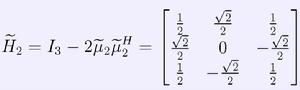
豪斯霍爾德法2)計算H2:令 ,則 。取λ2= ,
豪斯霍爾德法
豪斯霍爾德法
豪斯霍爾德法
豪斯霍爾德法
豪斯霍爾德法因為 是一個上三角形,所以,Householder變換到此結束。

