定義
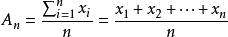
均值定理:對於任意兩個正實數 a、 b,都有
均值定理若且唯若a=b時,等號成立。
注:運用均值不等式求最值條件
均值定理
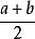
均值定理① , ;
② a和 b的乘積 ab是一個定值(正數);
③等號成立條件。
相關重要不等式:
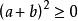
均值定理① ;
均值定理② ;
均值定理③ 。
幾何含義
均值定理
均值定理
均值定理
均值定理一個矩形的長為a,寬為b,畫兩個正方形,要求第一個正方形的面積與矩形的面積相同,第二個正方形的周長與矩形的周長相同,如圖1所示。第一個正方形的面積為ab,則其邊長為 ;第二個正方形的周長為 ,邊長為 。可以看出第一個正方形面積不大於第二個正方形,即邊長關係 。
圖1 均值定理幾何含義推廣
均值不等式
均值定理均值定理可進行推廣,得到更為通用的均值不等式: 。即調和平均數不超過幾何平均數,幾何平均數不超過算術平均數,算術平均數不超過平方平均數,簡記為“調幾算方”。
均值定理其中:對於任意非負實數 ,有
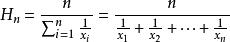
均值定理,即調和平均數;
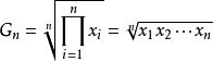
均值定理,即幾何平均數;
均值定理,即為算術平均數;
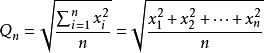
均值定理,即為平方平均數。
例題
均值定理
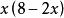
均值定理(1)當 時,求 的最大值。
均值定理解:
均值定理
均值定理
均值定理
均值定理若且唯若 ,即 時, 取最大值8。
均值定理
均值定理(2)當 時,求函式 的最小值。
均值定理解:
均值定理
均值定理
均值定理
均值定理若且唯若,即時,取最小值3。

