嚴格遞增函式
定義1
遞增(increasing)函式是指當函式的任何自變數增加的時候,函式值不減少。 嚴格遞增(strongly increasing)是指當函式任何自變數增加的時候,函式值也增加。類似地, 遞減函式(decreasing)是指當函式的任何自變數增加的時候函式值不增加, 嚴格遞減(strongly decreasing)是指當函式任何自變數增加的時候函式值卻減少。
定義2
嚴格遞增
嚴格遞增
嚴格遞增
嚴格遞增
嚴格遞增
嚴格遞增
嚴格遞增
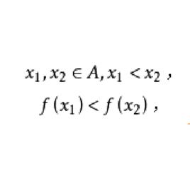
嚴格遞增設 為偏序集, ,如果對任意的 ,都有 ,則稱 為 單調遞增的;如果對任意的 ,都有 ,則稱 為嚴格單調遞增的。
類似的,也可以定義單調遞減和嚴格單調遞減的函式。
舉例分析
例1 單調遞增函式的一些例子:
嚴格遞增(1) 是嚴格單調遞增的;
嚴格遞增
嚴格遞增
嚴格遞增(2)偏序集 ,其中, 為包含關係,≤為一般的小於或等於關係。令 是單調遞增的,但不是嚴格單調遞增的。
嚴格遞增數列
嚴格遞增
嚴格遞增對於一個實數列 ,如果從第2項起,每一項都不小於它的前一項,即有 ,這樣的實數列叫做 遞增數列,也叫做上升數列;或說這一數列單調增加.
嚴格遞增如果每一項都大於它的前一項,即 ,則把這樣的實數列叫做 嚴格遞增數列;或說這一數列 嚴格遞增或 嚴格單調增加.
嚴格遞增
嚴格遞增對於一個實數列 ,如果從第2項起,每一項都不大於它的前一項,即有 ,這樣的實數列叫做 遞減數列,也叫做下降數列,或說這一數列單調減少。
嚴格遞增如果每一項都小於它的前一項,即 ,則把這樣的實數列叫做 嚴格遞減數列;或說這一數列 嚴格遞減或 嚴格單調減少.
相關結論
一個嚴格遞增的連續函式,它不處處可微。
下面的例子是由Pringsheim作出的,令
嚴格遞增
嚴格遞增
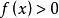
嚴格遞增易見, 在 上連續,因為當x≠0時,
嚴格遞增
嚴格遞增
嚴格遞增
嚴格遞增
嚴格遞增
嚴格遞增
嚴格遞增
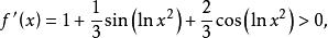
嚴格遞增所以 在 和 內都是嚴恪遞增的,又當x>0時, ,而當x<0時, ,可見 在 內也是嚴格遞增的,但由於
嚴格遞增
嚴格遞增不存在,因而 在x=0處不可微。
注意:有人或許會猜測,嚴格單調函式的不可微的點都是一些間斷點,上述反例說明了這種猜測是不正確的。

