雅可比矩陣
[Jacobi matrix]
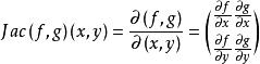
雅可比矩陣是多元函式偏導數構成的矩陣。
向量函式
向量函式
向量函式設Ω 是中的區域,函式在Ω 內可微,稱為向量函式(vector function),它的雅可比矩陣是
向量函式。
向量函式
向量函式
向量函式
向量函式
向量函式
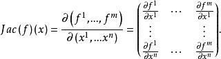
向量函式設Ω 是中的區域,n 元函式 在Ω 內可微, 稱為向量函式(vector function),亦稱為到的映射,記為 。它的雅可比矩陣是
向量函式套用
向量函式
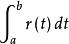
向量函式向量函式的概念可直接推廣到任意維數的歐氏空間中去。像數學分析中討論實函式那樣,對向量函式也可以定義極限、連續、導數、微分、積分等概念。如設r(t)是定義在區間t上的向量函式,若極限存在,則稱r(t)在t點是可微的,這個極限稱為r(t)在t點的導向量,用dr/dt或r'(t)表示。類似地可定義向量函式的高階導數與高階微分,以及偏導向量等。同樣,也可以定義向量函式的積分,若向量函式在區間[a,b]上連續,則積分存在,且
向量函式總之,向量函式的微分法和積分法都可以通過它的各分量的相應運算去進行,向量代數與向量分析在經典的曲線曲面理論中有著重要套用。

