定義
示例圖在兩個數的加法運算中,在從左往右計算的順序,兩個加數相加,交換加數的位置,和不變。 例如:
字母: a+b=b+a a+c=c+a
數字: 1+2=2+1 16+30=30+16
局限性
儘管這一定律看上去似乎對於任何事物都顯然成立,但事實並非如此。在沒有時間的空間下(三維以內),加法交換律是完全正確的。但是一旦有了時間軸,這個定律就不成立了。
證明這個理論的實驗之一如下:
(1)取一個方體物體,如較厚的書或者魔方之類皆可。將其平放在水平台上。
(2)現令正對上方的一面,平行與桌面對著你的一面和平行桌面在你右邊的面為面一、二、三。各自相對的面為面四五六。
(3)定義操作a為將此長方體翻轉180度。即面三、六不動,一四交換,二五交換。定義操作b為將左邊的面翻至上方。
(4)執行a+b後,向上的一面為面六。執行b+a後,向上的一面為面三。顯然a+b不等於b+a。
此外對於無窮多個數相加,使用加法交換律,結果可能是錯誤的。
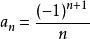
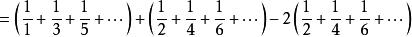
加法交換律下面展示的是數列的無窮求和。
加法交換律
加法交換律
加法交換律
加法交換律但是,通過觀察,原式應該至少是一個大於的數。
相關定律
加法結合律:a+b+c=a+(b+c)
乘法交換律:a×b=b×a
乘法結合律:(a×b)×c=a×(b×c)
乘法分配律:a×c+b×c=(a+b)×c
減法的性質:a-b-c=a-(b+c)
除法的性質:(a÷b)÷c=a÷(b×c)
商不變性質:a÷b=(a×c)÷(b×c)=(a÷c)÷(b÷c) (c≠0)

