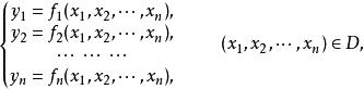
定義和例子
函式行列式
函式行列式
函式行列式由到的映射(或變換)就是元函式
函式行列式
函式行列式
函式行列式
函式行列式
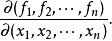
函式行列式由到的映射(或變換)就是個元函式構成的函式組,即
函式行列式
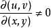
函式行列式表示為。設它們對每個自變數都存在偏導數,行列式
函式行列式
函式行列式
函式行列式稱為函式組在點的 雅克比行列式,也稱為 函式行列式 ,表示為
函式行列式極坐標變換
設極坐標為
函式行列式
函式行列式
函式行列式函式組在點下的函式行列式為
函式行列式柱面坐標變換
設柱面坐標為
函式行列式
函式行列式
函式行列式函式組在點下的函式行列式為
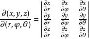
函式行列式球面坐標變換
設球面坐標為
函式行列式
函式行列式
函式行列式函式組在點下的函式行列式為
函式行列式
函式行列式函式行列式的性質
函式行列式
函式行列式
函式行列式
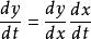
函式行列式已知一元函式與的複合函式的導數是,對二元函式的複合,我們有下面類似的定理。
定理1
函式行列式
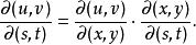
函式行列式若函式組有連續的一階偏導數,而也有連續的一階偏導數,則
函式行列式
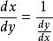
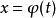
函式行列式對應於一元函式的反函式的求導法則,對二元函式組,我們也有類似的法則。
定理2
函式行列式
函式行列式
函式行列式若函式組有連續的一階偏導數,又也有連續的一階偏導數,則當時,有
函式行列式