人物簡介
不定積分是由Sergei Natanovich Bernstein(俄羅斯語:СергейНатановичБернштейн,有時被羅馬化為伯恩斯坦; 1880年3月5日至1968年10月26日)提出的,他是俄羅斯和蘇聯猶太裔數學家,專研偏微分方程,微分幾何, 機率論和近似理論。
伯恩斯坦的主要成果有:
偏微分方程
伯恩斯坦在1904年提交給索邦大學的博士論文中,解決了希爾伯特第十九問題的橢圓微分方程解析解。他的後期工作專門用於狄利克雷對橢圓型非線性方程的邊界問題,特別是他引入了先驗估計。
機率論
1917年,伯恩斯坦提出了基於代數結構的第一個機率論的公理基礎。它隨後被Kolmogorov的測量理論方法所取代。
在20世紀20年代,他引入了一種用於證明相關隨機變數的和的極限定理的方法。
近似理論
通過套用伯恩斯坦多項式,他奠定了建構性功能理論的基礎,一個研究函式的平滑性與其多項式的近似關係的領域。特別地,他證明了Weierstrass近似定理和伯恩斯坦定理(近似理論)。
貝塞爾曲線
貝塞爾曲線(Bézier curve),又稱貝茲曲線或貝濟埃曲線,是套用於二維圖形應用程式的數學曲線。一般的矢量圖形軟體通過它來精確畫出曲線,貝茲曲線由線段與節點組成,節點是可拖動的支點,線段像可伸縮的皮筋,我們在繪圖工具上看到的鋼筆工具就是來做這種矢量曲線的。貝塞爾曲線是計算機圖形學中相當重要的參數曲線,在一些比較成熟的點陣圖軟體中也有貝塞爾曲線工具,如PhotoShop等。在Flash4中還沒有完整的曲線工具,而在Flash5裡面已經提供出貝塞爾曲線工具。
貝塞爾曲線於1962,由法國工程師皮埃爾·貝塞爾(Pierre Bézier)所廣泛發表,他運用貝塞爾曲線來為汽車的主體進行設計。貝塞爾曲線最初由Paul de Casteljau於1959年運用de Casteljau演算法開發,以穩定數值的方法求出貝茲曲線。
詳細定義
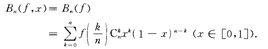
伯恩斯坦多項式(Bernstein polynomial)逼近連續函式的一系列多項式。可在外爾斯特拉斯逼近定理的構造性證明中使用。設函式f:[0,1]→R(或C),對於n∈N,
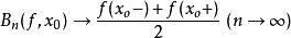
伯恩斯坦多項式B(f,x)稱為f的n階伯恩斯坦多項式。它的次數不超過n.它是由伯恩斯坦(Бернштейн.С.Н.)於1912年給出的。下列伯恩斯坦定理成立:若f在[0,1]上連續,則在[0,1]上B(f)一致收斂於f.一般地,若導數f(k∈N)在[0,1]上連續,則在[0,1]上B(f)的k階導數一致收斂於f.若x∈(0,1)是f的第一類間斷點,則:
伯恩斯坦多項式伯恩斯坦多項式有多種推廣。
常用性質
伯恩斯坦多項式具有如下性質:
伯恩斯坦多項式性質1:若v<0或v>n,則。
伯恩斯坦多項式性質2:對x∈[0,1]有。
伯恩斯坦多項式性質3:在x=0處有一個v重根。
伯恩斯坦多項式性質4:在x=1處一個(n-v)重根。
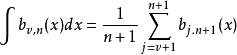
性質5:無限積分由下式給出:
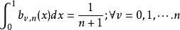
伯恩斯坦多項式性質6:對給定的n來說有限積分是常數:
伯恩斯坦多項式
