三角多項式
正文
形如
,
,
,

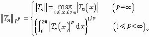
對於n階三角多項式Tn(x),記

為Tn的Lp範數,若1≤p≤p┡≤∞,則
。
。
。
。
,
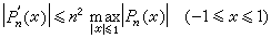
。 共軛三角多項式 對給定的n階三角多項式Tn(x),記
,
為Tn(x)的共軛三角多項式。對於共軛三角多項式的導數有不等式
,
應該指出,對於復係數三角多項式Tn(x)(即諸係數αk,bk為複數),同樣有
。
。
。
。
。
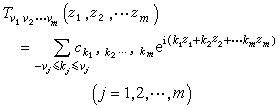
是僅與足碼有關的複數,則稱 
滿足條件
,
(z1,z2,…,zm)為實三角多項式。此時,如限制變數取實值,則它是一個實函式。實三角多項式也可以藉助歐拉公式將它改變為正弦函式與餘弦函式的實係數的多項式。例如,若Tυu(x,y)是關於變數x,y的vμ 階實三角多項式,則存在著僅與足碼有關的實數
,使得 
自然,三角多項式是一類簡單的周期函式,但是,它是近似表示一般的周期函式的有效工具,隨著三角多項式的階的增高,任何連續的周期函式都可以藉助於三角多項逼近到預先給定的程度。反之如果已知這種逼近程度的收斂於零的速度,也就有可能推出被逼近函式的構造性質,這個事實本身是有著深刻的物理意義的,周期運動的分解便是一個明顯的例證。三角多項式是在其他數學、物理、力學等領域中有著廣泛的套用。

