簡介
伯恩斯坦不等式是多項式或三角多項式導數的一種估計式。
伯恩斯坦不等式在函式逼近論中有重要套用,是由伯恩斯坦建立的。
類型
伯恩斯坦不等式
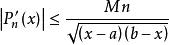
伯恩斯坦不等式設P是n次多項式,,則對x∈(a,b),有,它不能再改善。
伯恩斯坦不等式
伯恩斯坦不等式
伯恩斯坦不等式對n階三角多項式T(x)及其共軛式,若,則對任意x∈R,有係數n 是最好的。
伯恩斯坦不等式一般地,若f是不超過a階的整函式,則對任意x∈R,有。
上述不等式都稱為伯恩斯坦不等式。
三角多項式
在數學中,三角多項式是一類基於三角函式的函式的總稱。三角多項式是可以表示成有限個正弦函式sin(nx) 和餘弦函式cos(nx) 的和的函式,其中的x 是變數,而n 是一個自然數。三角多項式中每一項的係數可以是實數或者複數。如果係數是複數的話,那么這個三角多項式是一個傅立葉級數。
