簡介
伯恩斯坦運算元逼近是用伯恩斯坦多項式的逼近。
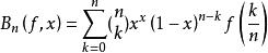
伯恩斯坦運算元逼近設f∈[a,b],稱為f的n階伯恩斯坦多項式。它是C[0,1]到C[0,1]的一個正線性運算元,也稱為伯恩斯坦運算元。
性質
伯恩斯坦運算元逼近
伯恩斯坦運算元逼近
伯恩斯坦運算元逼近
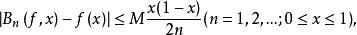
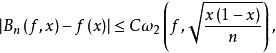
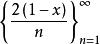
伯恩斯坦運算元逼近當n→∞時,||B(f)-f||→0。運算元序列是飽和的,飽和階是,而飽和類是{f|f∈C[0,1]且f'∈Lip1}。更確切地說,存在正數C,對於任何f∈C[0,1]及x∈[0,1],都有而且f'∈Lip1等價於這裡ω(f,δ)是f的二階光滑模。
伯恩斯坦多項式
(Bernstein polynomial)
伯恩斯坦多項式是逼近連續函式的一系列多項式,可在外爾斯特拉斯逼近定理的構造性證明中使用,它是由伯恩斯坦(Бернштейн.С.Н.)於1912年給出的。
伯恩斯坦運算元逼近設函式f:[0,1]→R(或C),對於n∈N,B(f,x)稱為f的n階伯恩斯坦多項式。它的次數不超過n。
