定義
集合 X與集合 Y上的二元關係是 R=( X, Y, G( R)),其中 G( R),稱為 R的 圖,是笛卡兒積 X× Y的子集。若 ( x, y) ∈ G( R) ,則稱 x是 R-關係於 y,並記作 xR y或 R( x, y)。否則稱 x與 y無關係R。但經常地我們把關係與其圖等同起來,即:若 R⊆ X× Y,則 R是一個關係。
例如:有四件物件 {球,糖,車,槍} 及四個人 {甲,乙,丙,丁}。 若甲擁有球,乙擁有糖,及丁擁有車,即無人有槍及丙一無所有— 則二元關係"為...擁有"便是 R=({球,糖,車,槍}, {甲,乙,丙,丁}, {(球,甲), (糖,乙), (車,丁)})。
其中 R 的首項是物件的集合,次項是人的集合,而末項是由有序對(物件,主人)組成的集合。比如有序對(球,甲)∈ G( R),所以我們可寫作"球R甲",表示球為甲所擁有。
不同的關係可以有相同的圖。以下的關係 ({球,糖,車,槍}, {甲,乙,丁}, {(球,甲), (糖,乙), (車,丁)} 中人人皆是物主,所以與 R不同,但兩者有相同的圖。話雖如此,我們很多時候索性把 R定義為 G( R), 而 "有序對 ( x, y) ∈ G( R)" 亦即是 "( x, y) ∈ R"。
二元關係可看作成二元函式,這種二元函式把輸入元 x∈ X及 y∈ Y視為獨立變數並求真偽值(即“有序對( x, y) 是或非二元關係中的一元”此一問題)。
若 X= Y,則稱 R為 X上的關係。
特殊的二元關係
註:下文我們將採用把二元關係R定義為A × A的子集的做法。
設A是一個集合,則:
空集∅稱作A上的 空關係(因為∅也是 A × A的子集)。
E = A × A稱作 A上的 全域關係。
= {(x,,x): x∈A} 稱作 A上的 恆等關係 。
性質
關係的性質主要有以下五種:自反性,反自反性,對稱性,反對稱性和傳遞性。
二元關係自反性:。
二元關係
二元關係在集合 X上的關係 R,如對任意 ,有 ,則稱 R是自反的。
二元關係反自反性(自反性的否定的強形式):。
二元關係
二元關係在集合 X上的關係 R,如對任意 ,有 ,則稱 R是反自反的。
二元關係對稱性:。
二元關係
二元關係在集合 X上的關係 R,如果有 則必有 ,則稱R是對稱的。
二元關係反對稱性(不是對稱性的否定):。
二元關係非對稱性(對稱性的否定的強形式):。
非對稱關係是滿足反自反性的反對稱關係。
二元關係傳遞性:。
實例
例1:
設 A={1,2,3}, R, R和 R是 A上的關係,其中: R={<1,1>,<2,2>}; R={<1,1>,<2,2>,<3,3>,<1,2>}; R={<1,3>},則 R不是自反的, R是反自反的, R是自反的但不是反自反的。
例2:
設 A={1,2,3}, R, R, R和 R是 A上的關係,其中: R={<1,1>,<2,2>}; R={<1,1>,<1,2>,<2,1>}; R={<1,2>,<1,3>}; R={<1,2>,<2,1>,<1,3>},則 R既是對稱的也是反對稱的。 R是對稱的但不是反對稱的。 R是反對稱的但不是對稱的。 R既不是對稱的也不是反對稱的。
例3:
設 A={1,2,3}, R, R和 R是 A上的關係,其中: R={<1,1>,<2,2>}; R={<1,2>,<2,3>}; R={<1,3>},則 R和 R是 A上的傳遞關係, R不是 A上的傳遞關係。
關係矩陣
二元關係
二元關係
二元關係
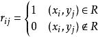
二元關係設 及 ,R是X與Y上的二元關係,令,則0,1矩陣稱為R的 關係矩陣,記作M。
關係圖
二元關係
二元關係
二元關係
二元關係設R集合A到B上的二元關係,令圖G=(V,E),其中頂點集合 ,邊集合為E ,且對於任意的 ,規定 若且唯若 。則稱圖G是關係R的 關係圖。
關係的運算
關係的基本運算有以下幾種:
設R為二元關係。
二元關係R中所有有序對的第一元素構成的集合稱為R的 定義域,記作dom(R),即 。
二元關係R中所有有序對的第二元素構成的集合稱為R的 值域,記作ran(R) ,即 。
二元關係R的定義域和值域的並集稱作R的 域,記作fld(R),即。
二元關係
二元關係R的 逆關係,簡稱R的 逆,記作 ,其中。
二元關係
二元關係設S也是一個二元關係。R和S的合成記作,其定義為。
二元關係
二元關係
二元關係
二元關係若R是一個集合A上的二元關係,可以在自然數範圍內定義R的n次冪。首先規定,再遞歸定義。可以證明有,成立。
與關係性質的聯繫
設R為集合A上的關係,下面給出的六種性質成立的充要條件:
二元關係R在A上自反若且唯若;
二元關係R在A上反自反若且唯若;
二元關係R在A上對稱若且唯若;
二元關係R在A上反對稱若且唯若;
二元關係R在A上非對稱若且唯若;
二元關係R在A上傳遞若且唯若。
關係的閉包
設R是非空集合A上的關係, R的自反(對稱或傳遞) 閉包是A上的關係R' ,滿足:
(1) R'是自反的(對稱的或傳遞的)。
二元關係(2)。
二元關係(3) 對A上任何包含R的自反(對稱或傳遞)關係R''有。
一般將R的自反閉包記作r(R),對稱閉包記作s(R) ,傳遞閉包記作t(R)。
下列給出了構造閉包的方法:
二元關係;
二元關係;
二元關係。
二元關係對於有限集合 A 上的關係 R ,存在一個正整數 s,使得 ,且s不超過A的元素數。
求傳遞閉包是圖論中一個非常重要的問題,例如給定了一個城市的交通地圖,可利用求傳遞閉包的方法獲知任意兩個地點之間是否有路相連通。可以直接利用關係矩陣相乘來求傳遞閉包,但那樣做複雜度比較高;好一點的辦法是在計算矩陣相乘的時候用分治法降低時間複雜度;但最好的方法是利用基於動態規劃的Floyd-Warshall算法來求傳遞閉包。
二元關係的數目
二元關係在一個有 n個元素的集合(簡稱 n元素集)上,一共有 個可能的二元關係。
| 在n元素集上各種二元關係的數目 | ||||||||
| n | 所有 | 傳遞 | 自反 | 預序 | 偏序 | 全預序 | 全序 | 等價關係 |
| 0 | 1 | 1 | 1 | 1 | 1 | 1 | 1 | 1 |
| 1 | 2 | 2 | 1 | 1 | 1 | 1 | 1 | 1 |
| 2 | 16 | 13 | 4 | 4 | 3 | 3 | 2 | 2 |
| 3 | 512 | 171 | 64 | 29 | 19 | 13 | 6 | 5 |
| 4 | 65536 | 3994 | 4096 | 355 | 219 | 75 | 24 | 15 |
| OEIS | A002416 | A006905 | A053763 | A000798 | A001035 | A000670 | A000142 | A000110 |
註:
•反自反關係和自反關係的數目一樣多。
•嚴格偏序(反自反的傳遞關係)的數目和偏序的一樣多。
•全序即是那些同時是全預序的偏序。透過容斥原理的想法,可知那些既不是偏序也不是全預序的預序數目是:預序的數目,減去偏序的數目,再減去全預序的數目,最後加上全序的數目,即0, 0, 0, 3, 85, ...
•等價關係的數目是集合劃分的數目,即貝爾數。
各個二元關係之間可組成二元組(某關係及其補集),除了在 n=0時,空關係的補集即其自身。那些不符合對稱性的二元關係也可組成四元組(某關係、補集、逆、逆的補集)。

