概述
機械零件作為一門學科,機械零件從機械設計的整體出發,綜合運用各有關學科的成果,研究各種基礎件的原理、結構、特點、套用、失效形式、承載能力和設計程式;研究設計基礎件的理論、方法和準則,並由此建立了本學科的結合實際的理論體系,成為研究和設計機械的重要基礎。
自從出現機械,就有了相應的機械零件。但作為一門學科,機械零件是從機械構造學和力學分離出來的。隨著機械工業的發展,新的設計理論和方法、新材料、新工藝的出現,機械零件進入了新的發展階段。有限元法、斷裂力學分析、彈性流體動壓潤滑、最佳化設計、可靠性設計、計算機輔助設計、系統分析和設計方法學等理論,已逐漸用於機械零件的研究和設計。更好地實現多種學科的綜合,實現巨觀與微觀相結合,探求新的原理和結構,更多地採用動態設計和精確設計,更有效地利用電子計算機,進一步發展設計理論和方法,是這一學科發展的重要趨向。
選材原則
機械零件指的是零件在使用時所應具備的材料性能,包括機械性能、物理性能和化學性能。對大多數零件而言,機械性能是主要的必能指標,表征機械性能的參數主要有強度極限σb、彈性極限σe、屈服強度σs或σ0.2、伸長率δ、斷面收縮率ψ、衝擊韌性ak及硬度HRC或HBS等。這些參數中強度是機械性能的主要性能指標,只有在強度滿足要求的情況下,才能保證零件正常工作,且經久耐用。在材料力學的學習中,已經發現,在設計計算零件的危險截面尺寸或校核安全程度時所用的許用應力,都要根據材料強度數據推出。
二、材料的工藝性能
材料的加工工藝性能主要有:鑄造、壓力加工、切削加工、熱處理和焊接等性能。其加工工藝性能的好壞直影響到零件的質量、生產效率及成本。所以,材料的工藝性能也是選材的重要依據之一。
(1)鑄造性能:一般是指熔點低、結晶溫度範圍小的合金才具有良好的鑄造性能。如:合金中共晶成分鑄造性最好。
(2)壓力加工性能:是指鋼材承受冷熱變形的能力。冷變形性能好的標誌是成型性良好、加工表面質量高,不易產生裂紋;而熱變形性能好的標誌是接受熱變形的能力好,抗氧化性高,可變形的溫度範圍大及熱脆傾向小等。
(3)切削加工性能:刀具的磨損、動力消耗及零件表面光潔度等是評定金屬材料切削加工性能好壞的標誌,也是合理選擇材料的重要依據之一。
(4)可焊性:衡量材料焊接性能的優劣是以焊縫區強度不低於基體金屬和不產生裂紋為標誌。
(5)熱處理:是指鋼材在熱處理過程中所表現的行為。
如過熱傾向、淬透性、回火脆性、氧化脫碳傾向以及變形開裂傾向等來衡量熱處理工藝性能的優劣。
總之,良好的加工工藝性可以大減少加工過程的動力、材料消耗、縮短加工周期及降廢品率等。優良的加工工藝性能是降低產品成本的重要途徑。
三、材料的經濟性能
每台機器產品成本的高低是勞動生產率和重要標誌。產品的成本主要包括:原料成本、加工費用、成品率以及生產管理費用等。材料的選擇也要著眼於經濟效益,根據國家資源,結合國內生產實際加以考慮。此外,還應考慮零件的壽命及維修費,若選用新材料還要考慮研究試驗費。
材料套用
機械零件一、全屬材料
1、鑄鐵
鑄鐵和鋼都是鐵碳合金,它們的區別主要在於含碳量的不同。含碳量小於2%的鐵碳合金稱為鋼,含碳量大於2%的稱為鑄鐵。鑄鐵具有適當的易熔性,良好的液態流動性,因而可鑄成形狀複雜的零件。此外,它的減震性、耐磨性、切削性(指灰鑄鐵)均較好且成本低廉,因此在機械製造中套用甚廣。常用的鑄鐵有:灰鑄鐵、球墨鑄鐵、可鍛鑄鐵、合金鑄鐵等。其中灰鑄鐵和球墨鑄鐵是脆性材料,不能進行輾壓和鍛造。在上述鑄鐵中,以灰鑄鐵套用最廣,球墨鑄鐵次之。
2、鋼
與鑄鐵相比,鋼具有高的強度、韌性和塑性,並可用熱處理方法改善其力學性能和加工性能。鋼製零件的毛坯可用鍛造、衝壓、焊接或鑄造等方法取得,因此其套用極為廣泛。
按照用途,鋼可分為結構鋼、工具鋼和特殊鋼。結構鋼用於製造各種機械零件和工程結構的構件;工具鋼主要用於製造各種刃具、模具和量具;特殊鋼(如不鏽鋼、耐熱鋼、耐酸鋼等)用於製造在特殊環境下工作的零件。按照化學成分,鋼又可分為碳素鋼和合金鋼。碳素鋼的性質主要取決於含碳量,含碳量越高則鋼的強度越高,但塑性越低。為了改善鋼的性能,特意加入了一些合金元素的鋼稱為合金鋼。
1)碳素結構鋼
這類鋼的含碳量一般不超過0.7%。含碳量低於0.25%的低碳鋼,它的強度極限和屈服極限較低,塑性很高,且具有良好的焊接性,適於衝壓、焊接,常用來製作螺釘、螺母、墊圈、軸、氣門導桿和焊接構件等。含碳量在0.l%~0.2%的低碳鋼還用以製作滲碳的零件,如齒輪、活塞銷、鏈輪等。通過滲碳淬火可使零件表面硬而耐磨,心部韌而耐衝擊。如果要求有更高強度和耐衝擊性能時,可採用低碳含金鋼。含碳量在0.3%~0.5%的中碳鋼,它的綜合力學性能較好,既有較高的強度,又有一定的塑性和韌性,常用作受力較大的螺栓、螺母、鍵、齒輪和軸等零件。含碳量在0.55%一0.7%的高碳鋼,具有高的強度和彈性,多用來製作普通的板彈簧、螺鏇彈簧或鋼絲繩等。
2)合金結構鋼
鋼中添加合金元素的作用在於改善鋼的性能。例如:鎳能提高強度而不降低鋼的韌性;鉻能提高硬度、高溫強度、耐腐蝕性和提高高碳鋼的耐磨性;錳能提高鋼的耐磨性、強度和韌性;鋁的作用類似於錳,其影響更大些;釩能提高韌性及強度;矽可提高彈性極限和耐磨性,但會降低韌性。合金元素對鋼的影響是很複雜的,特別是當為了改善鋼的性能需要同時加入幾種合金元素時。應當注意,合金鋼的優良性能不僅取決於化學成分,而且在更大程度上取決於適當的熱處理。
3)鑄鋼
鑄鋼的液態流動性比鑄鐵差,所以用普通砂型鑄造時,壁厚常不小於10mm。鑄鋼件的收縮率比鑄鐵件大,故鑄鋼件的圓角和不同壁厚的過渡部分均應比鑄鐵件大些。
選擇鋼材時,應在滿足使用要求的條件下,儘量採用價格便宜供應充分的碳素鋼,必須採用合金鋼時也應優先選用矽、錳、硼、釩類合金鋼。
3、銅合金
銅合金有青銅與黃銅之分。黃銅是銅和鋅的合金,並含有少量的錳、鋁、鎳等,它具有很好的塑性及流動性,故可進行碾壓和鑄造。青銅可分為含錫青銅和不含錫青銅兩類,它們的減摩性和抗腐蝕性均較好,也可輾壓和鑄造。此外,還有軸承合金(或稱巴氏合金),主要用於製作滑動軸承的軸承村。
二、非全屬材料
1、橡膠
橡膠富於彈性,能吸收較多的衝擊能量,常用作聯軸器或減震器的彈性元件、帶傳動的膠帶等。硬橡膠可用於製造用水潤滑的軸承襯。
2、塑膠
塑膠的比重小,易於製成形狀複雜的零件,而且各種不同塑膠具有不同的特點,如耐蝕性、絕熱性、絕緣性、減摩性、摩擦係數大等,所以近年來在機械製造中其套用日益廣泛。以木屑、石棉纖維等作填充物,用熱固性樹脂壓結而成的塑膠稱為結合塑膠,可用來製作儀表支架、手柄等受力不大的零件。以布、石棉、薄木板等層狀填充物為基體,用熱固性樹脂壓結而成的塑膠稱為層壓塑膠,可用來製作無聲齒輪、軸承村和摩擦片等。
設計機械零件時,選擇合適的材料是一項複雜的技術經濟問題。設計者應根據零件的用途、工作條件和材料的物理、化學、機械和工藝性能以及經濟因素等進行全面考慮。這就要求設計者在材料和工藝等方面具有廣泛的知識和實踐經驗。前面所述,僅是一些概略的說明。
各種材料的化學成分和力學性能可在有關的國家標準、行業標準和機械設計手冊中查得。
設計準則
機械零件要求機械零件的工作應力σ不超過許用應力[σ]。其典型的計算公式是:

σlim——極限應力,對受靜應力的脆性材料取其強度極限,對受靜應力的塑性材料取其屈服極限,對受變應力的零取其疲勞極限。
S——安全係數。
2、剛度準則
機械零件在受載荷時要發生彈性變形,剛度是受外力作用的材料、機械零件或結構抵抗變形的能力。材料的剛度由使其產生單位變形所需的外力值來量度。機械零件的剛度取決於它的彈性模量E或切變模量G、幾何形狀和尺寸,以及外力的作用形式等。分析機械零件的剛度是機械設計中的一項重要工作。對於一些需要嚴格限制變形的零件(如機翼、工具機主軸等),須通過剛度分析來控制變形。我們還需要通過控制零件的剛度以防止發生振動或失穩。另外,如彈簧,須通過控制其剛度為某一合理值以確保其特定功能。剛度準則是要求零件受載荷後的彈性變形量不大於允許彈性變形量。剛度準則的表達式為

y是彈性變形量,如撓度、縱向伸長(縮短):[y]為相應的許用彈性變形量。零件的彈性變形量可由理論計算或經實驗得到,許用變形量則取決於零件的用途,根據理論分析或經驗確定。
3、耐熱性準則
由於摩擦等原因,機械在運轉時,機械零件和潤滑劑的溫度一般會升高。過高的工作溫度將導致潤滑效果下降,同時,還會引起零件的熱變形、硬度和強度下降,甚至損壞。如在高溫時,金屬機械零件可能發生膠合、卡死;塑膠等非金屬機械零件可能發生軟化,甚至熔化等,在某些場合還會引起熱應力。耐熱性準則一般是控制機械零件的工作溫度不要超過許用值,以保證零部件正常工作,其表達式是

為了改善散熱性能、控制溫升,必要時可以採用水冷或氣冷等措施。
4、振動穩定性準則
當激勵的頻率等於物體固有頻率時,物體振幅最大,激勵的頻率與固有頻率相差越大,物體的振幅越小。激勵的頻率接近物體的固有頻率時,受迫振動的振幅會很大,這種現象叫做共振。振動穩定性指機械零件在機器運轉時避免發生共振的品質。
為了延長機器的壽命,為了避免軸和機器的損壞,應驗算軸的振動穩定性,特別是高速機器的軸。振動穩定性準則要求機械零件的固有頻率應與激勵的頻率錯開,保證不發生共振。
設機器中受激勵作用的零部件的固有頻率為f,激勵力的頻率為fp,一般要求
fp<0.85f或fp>1.15f
改變機械零件的剛度和質量可以改變其固有頻率。增大機械零件的剛度和減小其質量,提高其固有頻率;減小機械零件的剛度和增大其質量則降低機械零件的固有頻率。有時,機器運轉時為了防止共振要調節轉速。
軸產生共振的主要原因是:由於材料內部質量不均勻,加之製造和安裝的誤差,使其質心和它的鏇轉中心產生偏差,軸鏇轉時產生慣性力,這個慣性力使轉子作強迫振動。軸在引起共振時的速度稱為臨界速度。在臨界速度下,這個慣性力的頻率等於或幾倍於轉子的固有頻率,因此發生共振。
機械零件5、壽命準則
為了保證機器在一定壽命期限內正常工作,在設計機械零件時必然要對機械零件的壽命提出要求。需要說明,在機器壽命期限內,零件是可以更換的,也就是說某些機械零件的壽命可以比機器的壽命短。機械零件的壽命主要受材料的疲勞、磨損和腐蝕影響。
為了避免發生零件疲勞引起的失效,如疲勞斷裂,應根據機械零件壽命對應的疲勞極限計算疲勞強度。即根據壽命要求,結合零件轉速等具體情況,計算出應力循環次數為N時的疲勞極限,再代入強度條件式,計算疲勞強度。當滿足疲勞強度時,可以保證機械零件在破壞前的應力循環次數達到壽命要求。
磨損一般是不可避免的。在一定條件下,腐蝕也是不可避免的,如橋樑結構件、地埋鋼質管道的腐蝕等。在設計時,主要是保證機械零件在壽命內,不要發生過度的磨損和腐蝕。磨損發生的機理尚為完全被人們掌握,影響磨損的因素也比較多,一般根據摩擦學設計原理來改善摩擦副的耐磨性。主要措施有:合理選擇摩擦副材料;合理選擇潤滑劑和添加劑;控制摩擦副的工作條件,如壓強、滑動速度和溫升。
到目前為止,還沒有實用、有效的腐蝕壽命計算方法,通常從材料選擇及防腐處理方面採取措施。如選用耐腐蝕的材料,採用表面鍍層、噴塗、磷化等處理。
6、可靠性準則
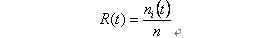
可靠性是產品在規定的條件下和規定的時間內,完成規定功能的能力。產品的質量一般應包含性能指標和可靠性指標。機械產品的性能指標是指產品具有的技術指標,如機械的功率、轉矩、工作力、工作速度等。如果只有性能指標,沒有可靠性指標,產品的性能指標也得不到保證。例如,一台技術先進的飛機,如果可靠性不高,勢必經常發生故障,影響正常飛行和增加維修費用,甚至可能造成嚴重的事故。產品的可靠性用可靠度R(t)來衡量。可靠度的定義是:產品在規定的條件下和規定的時間內完成規定功能的機率。可靠度是時間的函式。有一批數量為n的相同產品,在t=0開始工作,隨著時間的延續,失效的件數no(t)在加大,正常工作的件數ni(t)在減少,在任意時刻t產品可靠度為

若某產品工作至3000小時的可靠度R(t)=0.96,則表示有96%的產品可以正常工作到3000小時以上,對具體一件產品來講,其工作到3000小時的機率為96%。
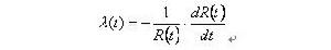
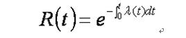
失效率指產品工作到t時刻,在下階段的單位時間內發生失效的機率,可以證明,其數學表達式為

分離變數,兩邊積分,得

得

零部件的失效率和時間的關係一般如圖3-13所示。可以用試驗的方法求得失效率曲線。失效率曲線反映產品總體壽命期失效率的情況。從失效曲線可以看出,失效大體可以分為三個階段。

第Ⅰ階段為早期失效階段,曲線為遞減型。產品投入使用的早期,失效率較高而下降很快。其原因主要是設計、製造、貯存、運輸等形成的缺陷,以及調試、跑合、起動不當等人為因素所造成的。當這些由於先天不良引起的失效發生後,設備運轉逐漸正常,則失效率就趨於穩定。應該儘量設法避免零件的早期失效,降低失效率和早期失效階段的時間t0。
第Ⅱ階段為偶然失效階段,其失效率緩慢增長。失效主要由非預期的過載、誤操作、意外的天災等偶然因素所造成。由於失效原因多屬偶然,故稱為偶然失效階段。降低偶然失效期的失效率則能提高有效壽命,所以應注意提高產品的質量,精心使用維護。
第Ⅲ階段為損壞失效階段,其失效率是遞增型。在t1以後失效率明顯上升。這是由於產品已經老化,疲勞、磨損、蠕變、腐蝕等所謂有耗損的原因所引起的,故稱為耗損失效期。針對這一階段失效的原因,應該注意檢查、監控等,提前維修,使失效率仍不上升。
7、精度準則
對於高精度的機械零件、機構或設備,要求其運動誤差小於許用值。例如在精密機械中,導軌的直線性誤差、主軸的徑向跳動誤差、齒輪傳動的轉角誤差等,必須要有一定的精度要求。可以根據機器和零件的功能要求,選用合適的公差與配合,即進行精度設計,並能正確地標註到圖樣上。還可以按照零件圖給定的公差值,求出機構的誤差,與要求的機構精度比較。
工藝性及標準化
機械零件一、工藝性
設計機械零件時,不僅應使其滿足使用要求,即具備所要求的工作能力,同時還應當滿足生產要求,否則就可能製造不出來,或雖能製造但費工費料很不經濟。
在具體生產條件下,如所設計的機械零件便於加工而加工費用又很低,則這樣的零件就稱為具有良好的工藝性。有關工藝性的基本要求是:
(1)毛坯選擇合理機械製造中毛坯製備的方法有:直接利用型材、鑄造、鍛造、衝壓和焊接等。毛坯的選擇與具體的生產技術條件有關,一般取決於生產批量、材料性能和加工可能性等。
(2)結構簡單合理設計零件的結構形狀時,警好採用最簡單的表面(如平面、圓柱面、螺鏇面)及其組合,同時還應當儘量使加工表面數目最少和加工面積最小。
(3)規定適當的製造精度及表面粗糙度零件的加工費用隨著精度的提高而增加,尤其在精度較高的情況下,這種增加極為顯著。因此,在沒有充分根據時,不應當追求高的精度。同理,零件的表面粗糙度也應當根據配合表面的實際需要,作出適當的規定。
欲設計出工藝性良好的零件,設計者就必須與工藝技術員工相結合併善於向他們學習。此外,在金屬工藝學課程和手冊中也都提供了一些有關工藝性的基本知識,可供參考。
二、標準化
標準化是指以制訂標準和貫徹標準為主要內容的全部活動過程。標準化的研究領域十分寬廣,就工業產品標準化而言,它是指對產品的品種、規格、質量、檢驗或安全、衛生要求等制訂標準並加以實施。
產品標準化本身包括三個方面的含義:(l)產品品種規格的系列化——將同一類產品的主要參數、型式、尺寸、基本結構等依次分檔,製成系列化產品,以較少的品種規格滿足用戶的廣泛需要;(2)零部件的通用化——將同一類型或不同類型產品中用途結構相近似的零部件(如螺栓、軸承座、聯軸器和減速器等),經過統一後實現通用互換;(3)產品質量標準化——產品質量是一切企業的“生命線”,要保證產品質量合格和穩定就必須做好設計、加工工藝、裝配檢驗,甚至包裝儲運等環節的標準化。這樣,才能在激烈的市場競爭中立於不敗之地。
對產品實行標準化具有重大的意義:在製造上可以實行專業化大運生產,既可提高產品質量又能降低成本;在設計方面可減少設計工作量;在管理維修方面,可減少庫存量和便於更換損壞的零件。
工作能力
機械零件各種機械和工程結構都是由若干個構件組成的。這些構件工作時都要承受力的作用,為確保構件在規定的工作條件和使用壽命期間能正常工作,須滿足以下要求:
1、有足夠的強度
保證構件在外力作用下不發生破壞,是構件能正常工作的前提條件,故構件的強度是指構件在外力作用下抵抗破壞的能力。
2、有足夠的剛度
構件在外力作用下產生的變形應在允許的限度內。構件在外力作用下抵抗變形的能力,即為構件具有的剛度。
3、有足夠的穩定性
某些細長桿件(或薄壁構件)在軸向壓力達到一定的數值時,會失去原來的平衡形態而喪失工作能力,這種現象稱為失穩。所謂穩定性是指構件維持原有形態平衡的能力。
構件的強度、剛度和穩定性與所用材料的力學性能有關,而材料的力學性能必須由實驗來測定。此外,還有些實際工程問題至今無法由理論分析來解決,必須依賴於實驗手段。
實際的工程結構中,許多承力構件如橋樑、汽車傳動軸、房屋的梁、柱等,其長度方向的尺寸遠遠大於橫截面尺寸,這一類的構件在材料力學的研究中,通常稱作桿件,桿的所有橫截面形心的連線,稱為桿的軸線,若軸線為直線,則稱為直桿;軸線為曲線,則稱為曲桿。所有橫截面的形狀和尺寸都相同的桿稱為等截面桿;不同者稱為變截面桿。材料力學主要研究等截面直桿。
變形形式
機械零件機械零件在不同的外力作用下,將產生不同形式的變形。主要的受力和變形有如下幾種:
1、拉伸與壓縮
這類變形形式是由大小相等,方向相反,作用線與桿件軸線重合的一對力引起的,表現為桿件的長度發生伸長或縮短[圖3-1(a、b)]。如起吊重物的鋼索,桁架的桿件,液壓油缸的活塞桿等的變形,都屬於拉伸或壓縮變形。在工程中經常見到承受拉伸或壓縮的桿件。例如緊固螺釘[圖3-2(a)],當擰緊螺帽時,被壓緊的工件對螺釘有反作用力,螺釘承受拉伸;千斤頂的螺桿[圖3-2(b)]在頂起重物時,則承受壓縮。前者發生伸長變形,後者發生縮短變形,直桿沿軸線受大小相等、方向相反的外力作用,發生伸長或縮短的變形時,稱為直桿的軸向拉伸或壓縮。本章只討論直桿的軸向拉伸與壓縮。
若把承受軸向拉伸或壓縮的桿件的形狀和受力情況進行簡化,則可以簡化成圖3-1所示的受力簡圖。圖中用實線表示受力前的外形,虛線表示變形後的形狀。
2、剪下
工程中經常見到承受剪下作用的構件。 這類桿件受力的共同特點是:在構件的兩側面上受到大小相等,方向相反,作用線相距很近而且垂直於桿軸的外力的作用。在這樣的外力作用下,桿件的主要變形是:以兩力間的橫截面m—m為分界面,構件的兩部分沿該面發生相對錯動。構件的這種變形形式稱為剪下,截面m—m稱為剪下面,剪下面與外力的方向平行。當外力足夠大時,構件將沿剪下面被剪斷。只有一個剪下面,稱為單剪,同時構件受壓,兩側還受到其它構件的擠壓作用,這種局部表面受壓的現象稱為擠壓。若壓力較大,則接觸面處的局部區域會發生顯著的塑性變形,致使結構不能正常使用,這種現象稱為擠壓破壞。
聯接件除了受剪下和擠壓外,往往還伴隨有其它形式的變形。例如,彎曲或拉伸變形。但由於這些變形相對剪下和擠壓變形來說是次要的,故一般不予考慮。
這類變形形式是由大小相等,方向相反,作用線相互平行的力引起的,表現為受剪桿件的兩部分沿外力作用方向發生相對錯動。機械中常用的聯接件,如鍵、銷釘、螺栓等都產生剪下變形。
3、扭轉
這類變形形式是由大小相等,方向相反,作用面都垂直於桿軸的兩個力偶引起的。表現為桿件的任意兩個橫截面發生繞軸線的相對轉動。汽車的傳動軸,電機和水輪機的主軸等都是受扭桿件。在垂直於桿軸線的平面內有力偶作用時,桿件將產生扭轉變形,即桿的各橫截面繞桿軸相對轉動。
桿的扭轉變形具有如下特點:
受力:在桿的兩端垂直於桿軸線的平面內作用著兩個力偶,其力偶矩相等,轉向相反。
變形:桿上各個橫截面均繞桿的軸線發生相對轉動。任意兩個橫截面之間相對轉過的角度稱為相對扭轉角。
在工程中經常遇到扭轉變形的構件。例如駕駛員的兩手在方向盤上的平面內各施加一個大小相等,方向相反,作用線平行的力,它們形成一個力偶,作用在操縱桿的端,而在操縱桿的端則受到來自轉向器的反力偶的作用,這樣操縱桿便受到扭轉作用。
4、彎曲
這類變形形式是由垂直於桿件軸線的橫向力,或由作用於包含桿軸的縱向平面內的一對大小相等,方向相反的力偶引起的,表現為桿件軸線由直線變為曲線。工程中,受彎桿件是最常遇到的情況之一。橋式起重機的大梁,各種心軸以及車刀等的變形,都屬於彎曲變形。受力後這些直桿的軸線將由原來的直線彎成曲線,這種變形稱為彎曲。以彎曲變形為主的桿件通常稱為梁。
還有一些桿件同時發生幾種基本變形,例如車床主軸工作時發生彎曲、扭轉和壓縮三種基本變形;鑽床立柱同時發生拉伸和彎曲兩種基本變形。這種情況稱為組合變形。
失效形式
機械零件1、零件徹底破壞,不能再使用;如軸斷裂。
2、嚴重損傷繼續使用不安全;如有裂紋產生、表面磨損。
3、雖然還能安全工作,但已達不到預定的作用。
只要發生上面情況中的任何一種都可以認為零件已經失效。對機器零件或部件進行失效分析的目的就是要找出零件破壞的原因,並且提出相應的改進措施。失效分析的結果對於零件的設計、選材、加工及使用都具有很大的指導意義。
一、機械零件失效的方式
零件失效的形式多種多樣,按零件的工作條件及失效的巨觀表現與規律可分為:變形失效、斷裂失效、表面損傷失效等。
二、機械零件失效的原因
失效原因有多種,在實際生產中,零件失效很少是由於單一因素引起的,往往是幾個因素綜合作用的結果。歸納起來可分為設計、材料、加工和安裝使用四個方面。可能的原因有如下:
1、設計原因
一是由於設計的結構和形狀不合理導致零件失效,如零件的高應力區存在明顯的應力集中源(各種尖角、缺口、過小的過渡圓角等;二是對零件的工作條件估計失誤,如對工作中可能的過載估計不足,使設計的零件的承載能力不夠。
2、材料方面的原因
選材不當是材料方面導致失效的主要原因。最常見的是設計人員僅根據材料的常規性能指標來作出決定,而這些指標根本不能反映出材料所受某種類型失效的搞力;材料本身的缺陷(如縮孔、疏鬆、氣孔、夾雜、微裂紋等)也導致零件失效。
3、加工方面原因
由於加工工藝控制不好會造成各種缺陷而引起失效。如熱處理工藝控制不當導致過熱、脫碳、回火不足等;鍛造工藝不良帶狀組織、過熱或過燒現象等;冷加工工藝不良造成光潔度太低,刀痕過深、磨削裂紋等都可導致零件的失效。
有些零件加工不當造成的缺陷與零件設計有很大的關係,如熱處理時的某些缺陷。零件外形和結構設計不合理會促使熱處理缺陷的產生(如變形、開裂)。為避免或減少零件淬火時發生或開裂,設計零件時應注意:截面厚薄不均勻,否則容易在薄避處易開裂;結構對稱,儘量採用封閉結構以免發生大的變形;變截面處均勻過渡,防止應力集中。
4、安裝使用與失效
零件安裝時,配合過緊、過松、對中不良、固定不緊等,或操作不當均可造成使用過程中失效。
三、零件失效分析的方法步驟
1、現場調查研究
這是十分關鍵的一步。儘量仔細收集失效零件的殘骸,並拍照記錄實況,從而確定重點分析的對象,樣品應取自失效的發源部位。
2、詳細記錄並整理失效零件的有關資料,如設計圖紙、加工方式及使用情況。
3、對所選定的試樣進行巨觀和微觀分析,確定失效的發源點和失效的方式。掃描電鏡斷口分析確定失效發源地和失效方式;金相分析,確定材料的內部質量。
4、測定樣品的有關數據:性能測試、組織分析、化學成份分析及無損探傷等。
5、斷裂力學分析。
6、最后綜合各方面分析資料作出判斷,確定失效的具體原因,提出改進措施,寫出分析報告。
表面精整與光飾
機械零件1、自由磨具表面光整加工技術
自由磨具表面光整加工技術包括鏇流式、離心式、叉軸式、臥式四大系列,及十幾種機型及相應的磨料磨液輔料,經數百種機械零件的精整與光飾的工藝試驗研究,取得了較好效果。取得了較好的經濟效益和社會效益。
2、自由磨具光整加工注意事項
滾磨光整加工技術的實用工藝過程是:
除油處理→光整加工及去毛刺→分選→清洗→烘乾→防鏽處理
◆除油處理:光整前的零件要進行徹底除油處理,常採用超音波清洗方法效果最佳。如果工件上油污進入,磨塊切削力明顯減弱,磨劑作用會降低、光整效果、效率下降,光整後的零件表面不光亮。
◆光整加工:光整加工主要是根據被光整零件件的結構形狀、尺寸大小及光整要求選擇或確定設備形式、設備規格、工藝用料、工藝參數等內容。
◆光整加工後處理包括三方面:磨塊與工件的分選、磨塊與工件的清洗及工件的脫水防鏽。
磨塊與工件的分選常用方法有:手工篩選、機械篩選、振動篩選、手工電磁分選和傳送帶式磁力分選,可根據實際情況選用。磨塊與工件的清洗採用超音波清洗方法最佳,再用清請水沖洗乾淨,要特別注意工件的脫水烘乾和防鏽處理。
大量工藝試驗發現,工件經滾磨光整加工後表面光潔錚亮,其表層的活躍金屬分子赤裸暴露在空氣中很快氧化變黑,繼而生鏽,原因清洗後留在零件表面上的水膜形成了電化學腐蝕所必須的一層電解質溶液。水的電離度雖小,但仍可電離成H+和[OH]-,這種電離過程隨溫度升高而加快。同時水中還溶解有CO2、SO2等,都極易與水結合。
H2O→H++[OH]-
CO2+H2O→H2CO3→H++[HCO3]-
鐵和鐵中的雜質浸泡在有H+、[OH]-和[HCO3]-等多種離子的溶液中一樣,形成了腐蝕電池,鐵是陽極、雜質是陰極。一般情況下,水膜里含有氧氣,陽極上的鐵被氧化成Fe2+離子,在陽極上獲得電子的是氧,然後與水結合成[OH]-離子。腐蝕反應為:
2Fe+O2+2H2O=2Fe(OH)2
由此看來,光整前除油處理和光整後的脫水烘乾、防鏽處理是非常必要的,二者缺一不可,其方法也很多。脫水烘乾通常採用工業型甩乾機,防鏽油用主要成份是羊毛脂,石油磺酸鋇,石油磺酸鈉及助劑。
3、磨粒流拋光
原理:在磨粒流加工過程中,夾具配合工件形成加工通道,兩個相對的磨料缸使磨料在這個通道中來回擠動。磨料均勻而漸進地對通道表面或邊角進行研磨,產生拋光、倒角作用。機械零件投入機械加工的每張圖紙都有去毛刺的技術要求,去毛刺工序,工藝人員往往無法編制工藝檔案,通常採用銼刀、布輪、砂布、砂帶等辦法來去除毛刺。隨著科學技術的進步和生產的發展,人工去毛刺已不能適應現代市場竟爭的產品質量和生產方式的要求,光整加工技術逐步取代了傳統的去毛刺工藝,而且越來越被人們所重視,目前有些先進企業機械零件的精整與光飾已被技術人員編入圖紙技術要求的內容,並形成了標準工序。
套用實例
機械零件一、工具機零件的選材分析
工具機零件的品種繁多,按結構特點、功用和受載特點可分為:軸類零件、齒輪類零件、工具機導軌等。
1、工具機軸類零件的選材
工具機主軸是工具機中最主要的軸類零件。工具機類型不同,主軸的工作條件也不一樣。根據主軸工作時所受載荷的大小和類型,大體上可以分為四類:
(1)輕載主軸。工作載荷小,衝擊載荷不大,軸頸部位磨損不嚴重,例如普通車床的主軸。這類軸一般用45鋼製造,經調質或正火處理,在要求耐磨的部位採用高頻表面淬火強化。
(2)中載主軸。中等載荷,磨損較嚴重,有一定的衝擊載荷,例如銑床主軸。一般用合金調質鋼製造,如40Cr鋼,經調質處理,要求耐磨部位進行表面淬火強化。
(3)重載主軸。工作載荷大,磨損及衝擊都較嚴重,例如工作載荷大的組合工具機主軸。一般用20CrMnTi鋼製造,經滲碳、淬火處理。
(4)高精度主軸。有些工具機主軸工作載荷並不大,但精度要求非常高,熱處理後變形應極小。工作過程中磨損應極輕微,例如精密鏜床的主軸。一般用38CrMoAlA專用氮化鋼製造,經調質處理後,進行氮化及尺寸穩定化處理。
過去,主軸幾乎全部都是用鋼製造的,現在輕載和中載主軸已經可用球墨鑄鐵製造。
2、工具機齒輪類零件的選材
工具機齒輪按工作條件殼分為三類:
(1)輕載齒輪。轉動速度一般都不高,大多用45鋼製造,經正火或調質處理。
(2)中載齒輪。一般用45鋼製造,正火或調質後,再進行高頻表面淬火強化,以提高齒輪的承載能力及耐磨性。對大尺寸齒輪,則需用40Cr等合金調質鋼製造。一般工具機住傳動系統及進給系統中的齒輪,大部分屬於這一類。
(3)重載齒輪。對於某些工作載荷較大,特別是運轉速度高又承受較大衝擊載荷的齒輪大多用20Cr、20CrMnTi等滲碳鋼製造。經滲碳、淬火處理後使用。例如:變速箱中一些重要傳動齒輪等。
3.工具機導軌的選材
工具機導軌的精度對整個工具機的精度有很大的影響。必須防止其變形和磨損,所以工具機導軌通常都是選用灰口鑄鐵製造,如HT200和HT350等。灰口鑄鐵在潤滑條件下耐磨性較好,但抗磨粒磨損能力較差。為了提高耐磨性,可以對導軌表面進行淬火處理。
二、拖拉機及汽車零件的選材分析
1、發動機和傳動系統零件的選材
這兩部分包括的零件相當多。其中,有大量的齒輪和各種軸,還有在高溫下工作的零件,如進、排氣閥、活塞等。它們的用材都比較重要,目前一般都是根據使用經驗來選材。對於不同類型的汽車和不同的生產廠,發動機和傳動系統的選材是不相同的。應該根據零件的具體工作條件及實際的失效方式,通過大量的計算和試驗選出合適的材料。
2、減輕汽車自重的選材
隨著能源和原材料供應的日趨短缺,人們對汽車節能降耗的要求越來越高。而減輕自重可提高汽車的重量利用係數,減少材料消耗和燃油消耗,這在資源、能源的節約和經濟價值方面具有非常重要的意義。
減輕自重所選用的材料,比傳統的用材應該更輕且能保證事業性能。比如,用鋁合金或鎂合金代替鑄鐵,重量可減輕至原來的1/3~1/4,但並不影響其使用性能;採用新型的雙相鋼板材代替普通的低碳鋼板材生產汽車的衝壓件,可以使用比較薄的板材,減輕自重,但一點不降低構件的強度;在車身和某些不太重要的結構件中,採用塑膠或纖維增強複合材料代替鋼材,也可以降低自重,減少能耗。
三、典型零件的選材實例
1、工具機主軸
工具機主軸是典型的受扭轉—彎曲複合作用的軸件,它受的應力不大(中等載荷),承受的衝擊載荷也不大,如果使用滑動軸承,軸頸處要求耐磨。因此大多採用45鋼製造,並進行調質處理,軸頸處由表面淬火來強化。載荷較大時則用40Cr等低合金結構鋼來製造。
車床主軸的選材結果如下:
材料:45鋼。
熱處理:整體調質,軸頸及錐孔表面淬火。
性能要求:整體硬度NB220~HB240;軸頸及錐孔處硬度HRC52。
工藝路線:鍛造→正火→粗加工→調質→精加工→表面淬火及低溫回火→磨削。
該軸工作應力很低,衝擊載荷不大,45鋼處理後屈服極限可達400MPa以上,完全可滿足要求。現在有部分工具機主軸已經可以用球墨鑄鐵製造。
2、拖拉機半軸
汽車半軸是典型的受扭矩的軸件,但工作應力較大,且受相當大的衝擊載荷,其結構如圖5所示。最大直徑達50mm左右,用45鋼製造時,即使水淬也只能使表面淬透深度為10%半徑。為了提高淬透性,並在油中淬火防止變形和開裂,中、小型汽車的半軸一般用40Cr製造,重型車用40CrMnMo等淬透性很高的鋼製造。
例:鐵牛45半軸
材料:40Cr。
熱處理:整體調質。
性能要求:桿部HRC37~HRC44;盤部外圓HRC24~HRC34。
工藝路線:下料→鍛造→正火→機械加工→調質→盤部鑽孔→磨花鍵。
3、工具機齒輪
工具機齒輪工作條件較好,工作中受力不大,轉速中等,工作平穩無強烈衝擊,因此其齒面強度、心部強度和韌性的要求均不太高,一般用45鋼製造,採用高頻淬火表面強化,齒面硬度可達HRC52左右,這對彎曲疲勞或表面疲勞是足夠了。齒輪調質後,心部可保證有HB220左右的硬度及大於4kg•m/cm2的衝擊韌性,能滿足工作要求。對於一部分要求較高的齒輪,可用合金調質鋼(如40Cr等)製造。這時心部強度及韌性都有所提高,彎曲疲勞及表面疲勞抗力也都增大。
例:普通車床床頭箱傳動齒輪。
材料:45鋼。
熱處理:正火或調質,齒部高頻淬火和低溫回火。
性能要求:齒輪心部硬度為HB220~HB250;齒面硬度HRC52。
工藝路線:下料→鍛造→正火或退火→粗加工→調質或正火→精加工→高頻淬火→低溫回火(拉花鍵孔)→精磨。
4、拖拉機齒輪
拖拉機齒輪的工作條件遠比工具機齒輪惡劣,特別是主傳動系統中的齒輪,它們受力較大,超載與受衝擊頻繁,因此對材料的要求更高。由於彎曲與接觸應力都很大,用高頻淬火強化表面不能保證要求,所以拖拉機的重要齒輪都用滲碳、淬火進行強化處理。因此這類齒輪一般都用合金滲碳鋼20Cr或20CrMnTi等製造,特別是後者在我國拖拉機齒輪生產中套用最廣。為了進一步提高齒輪的耐用性,除了滲碳、淬火外,還可以採用噴丸處理等表面強化處理工藝。噴丸處理後,齒面硬度可提高HRC1~3單位,耐用性可提高7~11倍。
例:拖拉機後橋圓錐主動齒輪。
材料:20CrMnTi鋼。
熱處理:滲碳、淬火、低溫回火,滲碳層深1.2mm~1.6mm。
性能要求:齒面硬度HRC58~HRC62,心部硬度HRC33~HRC48。
工藝路線:下料→鍛造→正火→切削加工→滲碳、淬火、低溫回火→磨加工。
以上各類零件的選材,只能作為機械零件選材時進行類比的參照。其中不少是長期經驗積累的結果。經驗固然很重要,但若只憑經驗是不能得到最好的效果的。在具體選材時,還要參考有關的機械設計手冊、工程材料手冊,結合實際情況進行初選,重要零件在初選後,需進行強度計算校核,確定零件尺寸後,還需審查所選材料淬透性是否符合要求,並確定熱處理技術條件。目前比較好的方法是,根據零件的工作條件和失效方式,對零件可選用的材料進行定量分析,然後參考有關經驗作出選材的最後決定。

