公式內容
Wallis公式是關於圓周率的無窮乘積的公式,公式內容如下:
Wallis公式其中
Wallis公式
Wallis公式,
開方後還可以寫成:
Wallis公式公式證明
Wallis公式
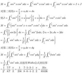
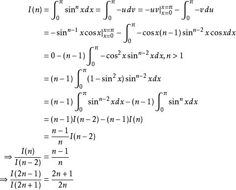
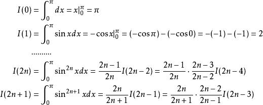
Wallis公式對這一公式的證明採用對 在 的積分完成:
Wallis公式令
用分部積分法
Wallis公式令
Wallis公式
Wallis公式
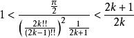
Wallis公式由 的單調性推知
Wallis公式
Wallis公式即為
Wallis公式變形後得到
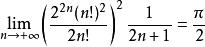
Wallis公式由求極限的夾逼準則,得到
Wallis公式即為Wallis公式。
公式的變形
Wallis公式還有一些變形:
Wallis公式①
Wallis公式②
從①式可以看出Wallis公式的實質就是刻畫了雙階乘(2n)!!與(2n-1)!!之比的漸近性態。

