定義
麥克勞林公式
麥克勞林公式麥克勞林 公式是泰勒公式(在 ,記ξ )的一種特殊形式。
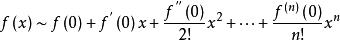
在不需要餘項的精確表達式時,n階泰勒公式也可寫成
麥克勞林公式
麥克勞林公式由此得近似公式
麥克勞林公式誤差估計式變為
在麥克勞林公式中,誤差|R(x)|是當x→0時比xⁿ高階的無窮小。
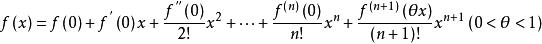
若函式f(x)在開區間(a,b)有直到n+1階的導數,則當函式在此區間內時,可以展開為一個關於x多項式和一個餘項的和:
麥克勞林公式Tauc公式:
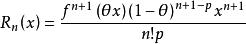
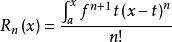
其中Rn是公式的餘項,可以是如下:
| 皮亞諾(Peano)餘項 | 麥克勞林公式 |
| 爾希-羅什(Schlomilch-Roche)餘項 | 麥克勞林公式 |
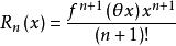
| 拉格朗日(Lagrange)餘項 | 麥克勞林公式 |
| 柯西(Cauchy)餘項 | 麥克勞林公式 |
| 積分餘項 | 麥克勞林公式 |
常用公式
麥克勞林公式(1)
麥克勞林公式(2)
麥克勞林公式(3)
麥克勞林公式(4)
麥克勞林公式(5)
麥克勞林簡介
麥克勞林,Maclaurin(1698-1746), 是18世紀英國最具有影響的數學家之一。
1719年Maclaurin在訪問倫敦時見到了Newton,從此便成為了Newton的門生。
1742年撰寫名著《流數論》,是最早為Newton流數方法做出了系統邏輯闡述的著作。他以熟練的幾何方法和窮竭法論證了流數學說,還把級數作為求積分的方法,並獨立於Cauchy以幾何形式給出了無窮級數收斂的積分判別法。他得到數學分析中著名的Maclaurin級數展開式,並用待定係數法給予證明。
他在代數學中的主要貢獻是在《代數論》(1748,遺著)中,創立了用行列式的方法求解多個未知數聯立線性方程組。但書中記敘法不太好,後來由另一位數學家Cramer又重新發現了這個法則,所以被稱為Cramer法則。
Maclaurin的其他論述涉及到天文學,地圖測繪學以及保險統計等學科,都取得了很多創造性的成果。
Maclaurin終生不忘牛頓Newton對他的栽培,死後在他的墓碑上刻有“曾蒙Newton的推薦”以表達他對Newton的感激之情。

麥克勞林公式
麥克勞林公式
麥克勞林公式
麥克勞林公式 