關注點
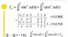
點火公式1、積分上下限分別必須為π/2與0
2、通過恆等變換有可能使不滿足第一點的定積分滿足條件
記憶規律
1、公式中因式每項的分母從n開始,每項減2,直到1;
2、公式中因式每項的分子從n-1開始,每項減2,直到1;
3、n為偶時,最後乘π/2;n為奇時,最後乘1(換而言之,也可視為不再用乘)。
點火公式5、形象記憶法:從n開始寫分數,可以視為火箭發射倒數計時,成功數到1則視為點火發射成功,乘上二分之派。
公式推導
見《高等數學》同濟大學 上冊 第七版 P253 例12
或《高等數學》同濟大學上冊 第六版 p371 最後一個公式
或見華里士公式(Wallis公式)推導
點火公式
