公式簡介
斯托克斯公式(英文:Stokes theorem)是微積分基本公式在曲面積分情形下的推廣,它也是格林公式的推廣,這一公式給出了在曲面塊上的第二類曲面積分與其邊界曲線上的第二類曲線積分之間的聯繫。
公式內容
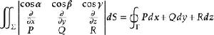
斯托克斯公式設Γ為分段光滑的空間有向閉曲線,S是以
為邊界的分片光滑的有向曲面,Γ的正向與S的側符合右手規則,函式
在曲面S(連同邊界Γ)上具有一階連續偏導數,則有
斯托克斯公式鏇度定理可以用來計算穿過具有邊界的曲面,例如,下圖中,任何右邊的曲面;鏇度定理不可以用來計算穿過閉曲面的通量,例如,任何左邊的曲面。在這圖內,曲面以藍色顯示,邊界以紅色顯示。
斯托克斯公式
斯托克斯公式這個公式叫做
上的斯托克斯公式或開爾文-斯托克斯定理、鏇度定理。這和函式的鏇度有關,用梯度算符可寫成:
斯托克斯公式另一種形式
通過以下公式可以在對坐標的曲線積分和對面積的面積積分之間相互轉換:
斯托克斯公式流形上的斯托克斯公式
斯托克斯公式令M為一個可定向分段光滑n維流形,令ω為M上的n-1階
類緊支撐微分形式。如果
表示M的邊界,並以M的方向誘導的方向為邊界的方向,則
斯托克斯公式
斯托克斯公式這裡dω是ω的外微分, 只用流形的結構定義。這個公式被稱為一般的斯托克斯公式(generalized Stokes' formula),它被認為是微積分基本定理、格林公式、高-奧公式、
上的斯托克斯公式的推廣;後者實際上是前者的簡單推論。
該定理經常用於M是嵌入到某個定義了ω的更大的流形中的子流形的情形。
定理可以簡單的推廣到分段光滑的子流形的線性組合上。斯托克斯定理表明相差一個恰當形式的閉形式在相差一個邊界的鏈上的積分相同。這就是同調群和德拉姆上同調可以配對的基礎。
流形上的斯托克斯公式
令 M 為一個可定向分段光滑 n 維流形,令 ω 為 M 上的 n−1 階 C1 類緊支撐微分形式。如果 ∂M 表示 M 的邊界,並以 M 的方向誘導的方向為邊界的方向,則
斯托克斯公式這裡 dω 是 ω 的外微分, 只用流形的結構定義。這個公式被稱為一般的斯托克斯公式(generalized Stokes' formula),它被認為是微積分基本定理、格林公式、高-奧公式、ℝ³ 上的斯托克斯公式的推廣;後者實際上是前者的簡單推論。
該定理經常用於 M 是嵌入到某個定義了 ω 的更大的流形中的子流形的情形。
定理可以簡單的推廣到分段光滑的子流形的線性組合上。斯托克斯定理表明相差一個恰當形式的閉形式在相差一個邊界的鏈上的積分相同。這就是同調群和德拉姆上同調可以配對的基礎。
