定義
集值映射
集值映射
集值映射
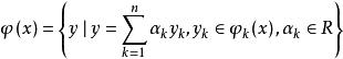
集值映射
集值映射
集值映射
集值映射
集值映射
集值映射
集值映射
集值映射
集值映射
集值映射
集值映射
集值映射
集值映射
集值映射
集值映射
集值映射
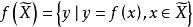
集值映射對於兩個集合 ,如果按照一個對應關係(規則),使得對於 中的每一元素 ,都有 中的一個(幾個)確定的元素 與之對應,那么我們把這個對應關係叫做集合 到集合 的 單值(多值)映射,多值映射也稱“ 集值映射”。通常用 …等符號來代表映射,當 表示一個由集合 到集合 的映射,那么記 ,或 ,對任意 ,對於任意集合 ,我們把集合 叫做 的象,而對任何集合 ,我們把集合 叫做 的 原象(逆象)。
相關概念
凹函式
集值映射
集值映射定義1 對凸集 上的函式 ,如果不等式
集值映射
集值映射
集值映射
集值映射
集值映射
集值映射對任意的 和任意 成立,那么我們稱函式 為 上的 凹函式。當不等式是嚴格不等式時,我們叫 為 嚴格凹函式。
類似可定義凸函式。凹函式圖像如圖1。
圖1
集值映射
集值映射下面的定義都將限制集合 是 中的有界閉、凸集。
上半連續
集值映射
集值映射
集值映射
集值映射
集值映射
集值映射定義2 對多值映射 序列 ,如果當 且 時有 ,那么,我們說映射 是 上半連續的。
集值映射當 為單值映射時,以上就是它的連續性定義。
下半連續
集值映射
集值映射
集值映射
集值映射定義3 若從 能夠推出存在 使得 則稱映射 為 下半連 續。
集值映射由定義得知,要證明映射的下半連續性,就要找出滿足定義條件的序列 來。
線性組合
關於多值映射的線性組合,我們有如下定義。
集值映射
集值映射定義4 假定有幾個映射 是上半連續的, 是凸且有界閉的集合,那么映射
集值映射
集值映射
集值映射叫做映射 的 線性組合,並用記號 。
相關定理
定理1
集值映射
集值映射
集值映射
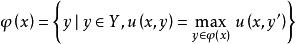
集值映射假定集合 是凸,有界閉集,定必在 上的連續函式 關於 是凹的,那么映射
集值映射
集值映射是上半連續的,且集合是非空凸、閉集。
定理2
集值映射
集值映射
集值映射
集值映射
集值映射
集值映射
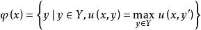
集值映射假定集合X與Y是凸、有界閉集,函式定義在 上,且對x與y分別是連續的,對y是凸的,如果存在 ,使得對所有 滿足 。那么映射 既是上半連續又是下半連續,並且集合是非空,凸且閉的。
定理3
集值映射
集值映射
集值映射
集值映射
集值映射
集值映射
集值映射假定連續函式定義在上,其中是凸,有界閉集,對y是凹的,並且多值映射是上半且下半連續的,集非空,對任意是凸的。那么映射
集值映射
集值映射是上半連續的,集合是非空,凸且有界閉的集合。
定理4
關於多值映射的線性組合,有如下結論。
上半連續映射的線性組合也是上半連續的。
定理5
下述的日本學者卡庫坦的多值映射不動點定理,在經濟數學中占有重要地位。
集值映射
集值映射
集值映射
集值映射
集值映射
集值映射假定是凸且有界閉的中的子集,映射是上半連續的,集合是非空凸集,那么存在,使。

