

相關詞條
-
阿貝爾求和公式
阿貝爾求和公式(Abel's summation formula) 亦稱分部求和法.
-
阿貝爾定理
阿貝爾定理: 1.如果冪級數在點x0處(x0不等於0)收斂,則對於適合不等式|x||x1|的一切x使這冪級數發散。
定理定義 定理推廣 參考資料 例子和套用 -
阿貝爾變換
阿貝爾變換是一個恆等式,它在數學分析中有著廣泛的套用。通過阿貝爾變換,可以分別證明任意項級數收斂的阿貝爾判別法和狄利克雷判別法
阿貝爾恆等式 積分第二中值定理 分部積分法 套用 -
阿貝爾-魯菲尼定理
尼爾斯·亨利克·阿貝爾(N.H.Abel)1802年8月5日出生在挪威一個名叫芬德的小村莊。有七個兄弟姐妹,阿貝爾在家裡排行第二。他父親是村子裡的窮牧師...
定理定義 發展簡史 人物簡介 -
阿貝爾獎
阿貝爾(Abel)獎是一項挪威設立的數學界大獎。每年頒發一次。2001年,為了紀念2002年挪威著名數學家尼爾斯·亨利克·阿貝爾二百周年誕辰,挪威政府宣...
阿貝爾其人 獎項設立 獲獎數學家 -
阿貝爾不等式
阿貝爾不等式亦稱阿貝爾引理,是用阿貝爾變換對有限和∑akbk的已知估計。
簡介 阿貝爾變換 -
阿貝爾引理
阿貝爾引理亦稱阿貝爾不等式,用阿貝爾變換對有限和∑akbk的已知估計。
簡介 阿貝爾變換 -
阿貝爾不可能性定理
高於四次的方程一般不可能有代數解法。 i)於1799年首次證明了高於四次的一般方程的不可解性,但其“證明” résolution
-
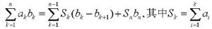
阿貝爾恆等式
阿貝爾(N.H.Abel)的方法是一套比較古典的數學分析技巧。他在數學分析的某些部分,特別是在級數的收斂性理論及有關和式(或積分式)的階的計算中常常用到。
適用範圍 套用領域 定律影響
