簡介
阿貝爾不等式阿貝爾不等式亦稱阿貝爾引理,是用阿貝爾變換對有限和的已知估計。
阿貝爾不等式
阿貝爾不等式
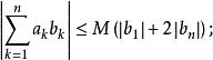
阿貝爾不等式若 單調,,這裡,則
阿貝爾不等式
阿貝爾不等式當遞減且非負時,
阿貝爾不等式阿貝爾變換
(Summation by parts)
阿貝爾變換是一個恆等式,它在數學分析中有著廣泛的套用。通過阿貝爾變換,可以分別證明任意項級數收斂的阿貝爾判別法和狄利克雷判別法
阿貝爾變換也叫 分部求和法(Abel transformation)或 阿貝爾引理(Abel's lemma)是求和的一種方法。
阿貝爾不等式
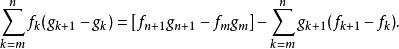
阿貝爾不等式設和為兩個數列,則有
阿貝爾不等式它被用來證明積分第二中值定理。
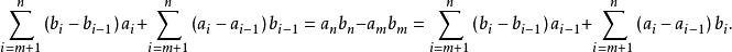
分部求和公式也可被寫成比較對稱的方式:
阿貝爾不等式